Substructure search in Glyconnect returns 638 records
| Glyconnect id | Glycan | Cartoon |
|---|---|---|
| 966 | Fuc(a1-2)[GalNAc(a1-3)]Gal(b1-3)[Fuc(a1-2)]Gal(b1-3)GalNAc |
|
| 978 | NeuAc(a2-3)Gal(b1-3)GalNAc |
|
| 1009 | HSO3(-3)GlcA(b1-3)Gal(b1-4)Gal(b1-3)GalNAc |
|
| 1045 | Gal(a1-3)Gal(b1-4)GlcNAc(b1-3)Gal(b1-3)GalNAc |
|
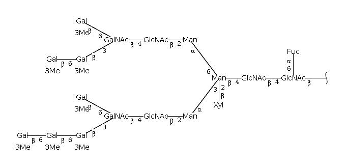
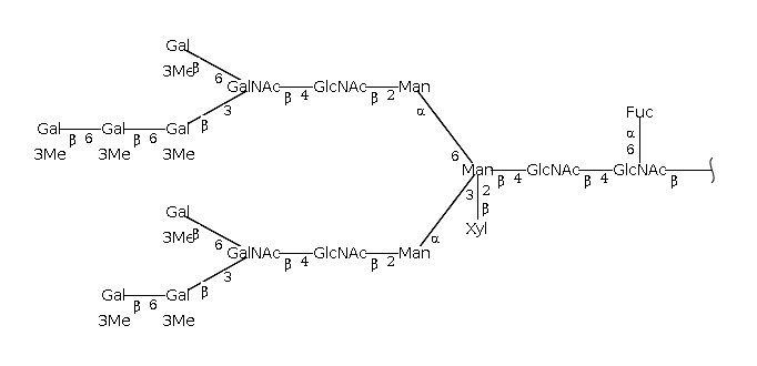
| 1068 | Me(-3)Gal(b1-6)[Me(-3)]Gal(b1-6)[Me(-3)]Gal(b1-3)[Me(-3)Gal(b1-6)]GalNAc(b1-4)GlcNAc(b1-2)Man(a1-3)[Me(-3)Gal(b1-6)[Me(-3)]Gal(b1-3)[Me(-3)Gal(b1-6)]GalNAc(b1-4)GlcNAc(b1-2)Man(a1-6)][Xyl(b1-2)]Man(b1-4)GlcNAc(b1-4)[Fuc(a1-6)]GlcNAc |
|
| 1106 | Gal(b1-3)GalNAc+"+ 2 x Gal(b1-4)GlcNAc(b1-?)" |
|
| 1278 | HSO3(-3)Gal(b1-4)[Fuc(a1-2)]Gal(b1-3)GalNAc |
|
| 1329 | Fuc(a1-2)Gal(b1-3)GlcNAc(b1-3)[Fuc(a1-2)Gal(b1-4)GlcNAc(b1-6)]Gal(b1-4)GlcNAc(b1-3)[NeuAc(a2-6)]Gal(b1-3)[Fuc(a1-2)Gal(b1-4)GlcNAc(b1-6)]GalNAc |
|
| 1331 | Gal(b1-3)GlcNAc(b1-3)[Gal(b1-4)GlcNAc(b1-6)]Gal(b1-4)GlcNAc(b1-6)[NeuAc(a2-3)Gal(b1-3)]GalNAc |
|
| 1366 | NeuAc(a2-3)Gal(b1-3)[NeuAc(a2-8)NeuAc(a2-6)]GalNAc |
|
| 2550 | Gal(b1-4)GlcNAc(b1-6)[GlcNAc(b1-3)Gal(b1-3)]GalNAc |
|
| 2655 | NeuAc(?2-3)Gal(b1-3)GalNAc |
|
| 2692 | NeuAc(a2-3)Gal(b1-4)[HSO3(-6)]GlcNAc(b1-6)[NeuAc(a2-3)Gal(b1-3)]GalNAc |
|
| 272 | Gal(b1-3)GlcNAc(b1-3)Gal(b1-4)[Fuc(a1-3)]GlcNAc(b1-6)[Gal(b1-3)]GalNAc |
|
| 2743 | HSO3(-3)Gal(b1-4)GlcNAc(b1-6)[NeuAc(a2-3)Gal(b1-3)]GalNAc |
|
| 2850 | Fuc(a1-2)Gal(b1-3)[Fuc(a1-4)]GlcNAc(b1-3)Gal(b1-3)[Gal(b1-4)GlcNAc(b1-6)]GalNAc |
|
| 2862 | Gal(b1-2)Gal(a1-3)[Fuc(a1-2)]Gal(b1-3)[HSO3(-6)GlcNAc(b1-6)]GalNAc |
|
| 3215 | GalNAc(b1-4)[NeuAc(a2-3)]Gal(b1-4)GlcNAc(?1-6)[Fuc(a1-2)Gal(b1-3)]GalNAc |
|
| 3340 | GlcNAc(a1-4)Gal(b1-4)[Kdn(a2-3)]Gal(b1-3)[GlcNAc(b1-3)[Fuc(a1-4)]GlcNAc(b1-6)]GalNAc |
|
| 3368 | Gal(b1-4)[HSO3(-6)]GlcNAc(b1-3)Gal(b1-3)GalNAc |
|
| 3481 | Fuc(a1-2)Gal(b1-3)[Fuc(a1-4)]GlcNAc(b1-3)Gal(b1-4)GlcNAc(b1-3)Gal(b1-4)GlcNAc(b1-6)[NeuAc(a2-3)Gal(b1-3)]GalNAc |
|
| 3493 | Gal(b1-4)GlcNAc(b1-6)[GlcNAc(b1-6)Gal(b1-3)]GalNAc |
|
| 3556 | NeuAc(a2-3)Gal(b1-4)GlcNAc(b1-6)[HSO3(-6)[NeuAc(a2-3)]Gal(b1-3)]GalNAc |
|
| 3581 | Gal(b1-3)[HexNAc(b1-?)Gal(b1-4)GlcNAc(b1-6)]GalNAc |
|
| 1189 | Gal(b1-4)GlcNAc(b1-6)[Gal(b1-3)]GalNAc+"+ NeuAc(a2-3)" |
|
| 1231 | Fuc(a1-2)[Gal(a1-3)]Gal(b1-?)GlcNAc(b1-3)[Fuc(a1-2)[Gal(a1-3)]Gal(b1-?)GlcNAc(b1-6)]Gal(b1-4)GlcNAc(b1-3)Gal(b1-3)Gal(b1-3)[Gal(b1-4)GlcNAc(b1-6)]GalNAc |
|
| 1243 | Gal(b1-4)GlcNAc(b1-3)Gal(b1-4)GlcNAc(b1-6)[Gal(b1-3)]GalNAc |
|
| 1467 | Fuc(a1-2)[Gal(b1-4)]Gal(b1-3)[GlcNAc(b1-6)]GalNAc |
|
| 1490 | Fuc(a1-2)Gal(b1-?)GlcNAc(b1-3)[Fuc(a1-2)Gal(b1-?)GlcNAc(b1-6)]Gal(b1-?)GlcNAc(b1-3)Gal(b1-3)GalNAc |
|
| 1504 | HSO3(-3)Gal(b1-3)GalNAc |
|
| 458 | NeuGc(a2-3)Gal(b1-4)[HSO3(-6)]GlcNAc(b1-3)Gal(b1-4)[HSO3(-6)]GlcNAc(b1-3)Gal(b1-4)[HSO3(-6)]GlcNAc(b1-3)Gal(b1-4)GlcNAc(b1-3)Gal(b1-3)GalNAc |
|
| 459 | GlcNAc(b1-3)[Fuc(a1-4)]GlcNAc(b1-6)[Gal(b1-4)[NeuAc(a2-3)]Gal(b1-3)]GalNAc |
|
| 760 | NeuGc(a2-8)NeuGc(a2-6)[Gal(b1-3)]GalNAc |
|
| 1036 | NeuGc(a2-3)Gal(b1-3)[NeuGc(a2-6)]GalNAc |
|
| 1348 | Fuc(a1-2)Gal(b1-3)[GlcNAc(b1-3)[Fuc(a1-4)]GlcNAc(b1-6)]GalNAc |
|
| 1448 | NeuGc(a2-3)Gal(b1-4)GlcNAc(b1-3)Gal(b1-4)GlcNAc(b1-3)Gal(b1-3)GalNAc |
|
| 1457 | Gal(b1-4)Gal(b1-4)GlcNAc(b1-6)[NeuAc(a2-3)Gal(b1-3)]GalNAc(a1-3)GalNAc |
|
| 1582 | Me(-3)Gal(b1-6)[Me(-4)Gal(b1-3)]GalNAc(b1-4)GlcNAc(b1-2)Man(a1-6)[Man(a1-3)][Xyl(b1-2)]Man(b1-4)GlcNAc(b1-4)[Fuc(a1-6)]GlcNAc |
|
| 1721 | GlcA(b1-3)Gal(b1-3)[Fuc(a1-2)][Gal(b1-4)]Gal(b1-3)GalNAc |
|
| 1778 | Me(-3)Gal(b1-6)[Me(-3)]Gal(b1-3)[Me(-3)Gal(b1-6)]GalNAc(b1-4)GlcNAc(b1-2)Man(a1-3)[Me(-3)Gal(b1-6)[Me(-3)]Gal(b1-3)[Me(-3)Gal(b1-6)]GalNAc(b1-4)GlcNAc(b1-2)Man(a1-6)][Xyl(b1-2)]Man(b1-4)GlcNAc(b1-4)GlcNAc |
|
| 3128 | NeuAc(?2-3)Gal(b1-3)[NeuAc(?2-6)]GalNAc |
|
| 3219 | Gal(b1-3)GlcNAc(b1-3)Gal(b1-4)GlcNAc(b1-6)[NeuAc(a2-3)Gal(b1-3)]GalNAc |
|
| 3341 | Fuc(a1-2)[Gal(b1-3)]Gal(b1-3)GalNAc |
|
| 3344 | Fuc(a1-2)[GalNAc(a1-3)]Gal(b1-?)GlcNAc(b1-3)Gal(b1-3)GalNAc |
|
| 3420 | Fuc(a1-2)Gal(a1-3)Gal(a1-4)Gal(b1-4)GlcNAc(b1-6)[Fuc(a1-2)Gal(a1-3)Gal(a1-4)Gal(b1-3)]Gal(b1-3)[Fuc(a1-2)Gal(a1-3)Gal(a1-4)Gal(b1-4)GlcNAc(b1-6)]GalNAc |
|
| 3456 | NeuAc(a2-8)NeuAc(a2-3)Gal(b1-3)[NeuAc(a2-6)]GalNAc |
|
| 347 | NeuGc(a2-3)Gal(b1-4)[HSO3(-6)]GlcNAc(b1-3)Gal(b1-4)[HSO3(-6)]GlcNAc(b1-3)Gal(b1-4)GlcNAc(b1-3)Gal(b1-3)GalNAc |
|
| 3573 | Fuc(a1-2)Gal(b1-4)GlcNAc(b1-6)[Fuc(a1-2)Gal(b1-?)GlcNAc(b1-3)]Gal(b1-?)GlcNAc(b1-3)Gal(b1-3)[Fuc(a1-2)Gal(b1-4)GlcNAc(b1-6)]GalNAc |
|
| 447 | Fuc(a1-2)Gal(b1-3)[Gal(b1-6)]GalNAc |
|
| 1779 | Gal(a1-3)GalNAc(a1-3)[Fuc(a1-2)]Gal(b1-3)[Fuc(a1-2)][GlcNAc(b1-6)]Gal(b1-3)GalNAc |
|
| 1979 | Fuc(a1-2)[GalNAc(a1-3)]Gal(b1-4)GlcNAc(b1-6)[Fuc(a1-2)Gal(b1-3)]GalNAc |
|
| 1992 | Gal(a1-4)Gal(b1-4)Gal(b1-4)GlcNAc(b1-6)[NeuAc(a2-3)Gal(b1-3)]GalNAc |
|
| 2079 | Gal(b1-3)GalNAc(b1-4)GlcNAc(?1-?)[GlcNAc(?1-?)]Man(a1-?)[Man(?1-?)Man(a1-?)]Man(b1-4)GlcNAc(b1-4)[Fuc(a1-6)]GlcNAc |
|
| 2098 | HSO3(-6)[NeuAc(a2-3)]Gal(b1-4)GlcNAc(b1-3)Gal(b1-3)[NeuAc(a2-3)Gal(b1-4)GlcNAc(b1-6)]GalNAc |
|
| 229 | Gal(b1-4)[HSO3(-6)]GlcNAc(b1-3)Gal(b1-4)[HSO3(-6)]GlcNAc(b1-3)Gal(b1-4)GlcNAc(b1-3)Gal(b1-3)GalNAc |
|
| 2407 | Fuc(a1-3)GalNAc(b1-3)Gal(b1-4)Gal(b1-3)[NeuGc(a2-8)NeuGc(a2-8)NeuGc(a2-6)]GalNAc |
|
| 2498 | Fuc(a1-2)Gal(a1-3)Gal(a1-4)Gal(b1-4)GlcNAc(b1-6)[Gal(a1-4)Gal(b1-3)]GalNAc |
|
| 2435 | Gal(a1-3)GalNAc(a1-3)[Fuc(a1-2)]Gal(b1-3)Gal(b1-3)[NeuAc(a2-6)]GalNAc |
|
| 2572 | Gal(b1-4)GlcNAc(b1-3)Gal(b1-4)GlcNAc(b1-3)Gal(b1-4)GlcNAc(b1-3)Gal(b1-4)GlcNAc(b1-3)Gal(b1-4)GlcNAc(b1-6)[Gal(b1-3)]GalNAc |
|
| 2738 | HSO3(-3)Gal(b1-4)GlcNAc(?1-6)[Fuc(a1-2)Gal(b1-3)]GalNAc |
|
| 282 | Fuc(a1-2)Gal(b1-3)[NeuAc(a2-6)]GalNAc |
|
| 293 | NeuAc(a2-3)Gal(b1-4)GlcNAc(b1-3)Gal(b1-3)[NeuAc(a2-6)]GalNAc |
|
| 2972 | Fuc(a1-2)[Fuc(a1-3)]Fuc(a1-4)Kdn(a2-3)Gal(b1-3)[Fuc(a1-3)[GalNAc(b1-4)]GlcNAc(b1-6)]GalNAc |
|
| 3159 | Me(-3)Gal(b1-6)[Me(-3)]Gal(b1-3)[Me(-3)Gal(b1-6)]GalNAc(b1-4)GlcNAc(b1-2)Man(a1-3)[Man(a1-6)]Man(b1-4)GlcNAc(b1-4)GlcNAc |
|
| 3278 | Gal(b1-3)GalNAc(a1-4)Gal(b1-3)[HSO3(-6)GlcNAc(b1-6)]GalNAc |
|
| 3423 | NeuAc(a2-3)Gal(b1-4)GlcNAc(b1-6)[NeuAc(a2-3)Gal(b1-3)]GalNAc |
|
| 3511 | NeuAc(a2-3)Gal(b1-4)GlcNAc(b1-3)Gal(b1-3)[NeuAc(a2-3)Gal(b1-4)GlcNAc(b1-6)]GalNAc |
|
| 3591 | Gal(a1-3)GalNAc(a1-3)[Fuc(a1-2)]Gal(b1-3)[Fuc(a1-2)][GlcNAc(b1-6)]Gal(b1-3)[GlcNAc(b1-6)]GalNAc |
|
| 703 | Fuc(a1-2)Gal(b1-?)GlcNAc(b1-?)[Fuc(a1-2)[GalNAc(a1-3)]Gal(b1-?)GlcNAc(b1-?)]Gal(b1-3)[Gal(b1-6)]GalNAc |
|
| 113 | Fuc(a1-2)Gal(b1-3)[Fuc(a1-2)]Gal(b1-3)[Fuc(a1-2)]Gal(b1-3)[GlcNAc(b1-6)]GalNAc |
|
| 1258 | Fuc(a1-2)[Gal(a1-4)]Gal(b1-3)[Fuc(a1-2)]Gal(b1-3)[GlcNAc(b1-6)]GalNAc |
|
| 1307 | GlcNAc(a1-4)Gal(b1-4)[NeuAc(a2-3)]Gal(b1-3)[GlcNAc(b1-3)GlcNAc(b1-6)]GalNAc |
|
| 1488 | GlcA(b1-3)Gal(b1-3)[Fuc(a1-2)]Gal(b1-3)[GlcNAc(b1-6)]GalNAc |
|
| 2494 | Gal(a1-3)GalNAc(a1-3)[Fuc(a1-2)]Gal(b1-4)GlcNAc(b1-6)[Gal(a1-3)GalNAc(a1-3)[Fuc(a1-2)]Gal(b1-3)]GalNAc |
|
| 2633 | Fuc(a1-2)Gal(b1-3)[Fuc(a1-2)]Gal(b1-3)[NeuAc(a2-6)]GalNAc |
|
| 2953 | Fuc(a1-2)[GalNAc(a1-3)]Gal(b1-3)Gal(b1-3)[NeuGc(a2-6)]GalNAc |
|
| 3105 | GalNAc(b1-3)Gal(b1-4)[Fuc(a1-3)]GlcNAc(b1-6)[GalNAc(b1-3)Gal(b1-3)]GalNAc |
|
| 3405 | Gal(a1-3)Gal(b1-4)GlcNAc(b1-6)[NeuAc(a2-3)Gal(b1-3)]GalNAc |
|
| 1801 | NeuAc(a2-3)Gal(b1-3)[Neu5,9Ac2(a2-6)]GalNAc |
|
| 1877 | Me(-2)Fuc(a1-2)[Gal(b1-6)]Gal(b1-6)[Fuc(a1-2)][Gal(b1-3)]Gal(b1-3)[Glc(b1-6)]GalNAc(b1-4)GlcNAc |
|
| 1894 | Fuc(a1-2)[GalNAc(a1-3)]Gal(b1-?)GlcNAc(b1-?)[Fuc(a1-2)[GalNAc(a1-3)]Gal(b1-?)GlcNAc(b1-?)]Gal(b1-?)GlcNAc(b1-3)Gal(b1-3)[Fuc(a1-2)Gal(b1-?)GlcNAc(b1-6)]GalNAc |
|
| 194 | HSO3(-4)Gal(b1-4)GlcNAc(b1-6)[Gal(b1-3)]GalNAc |
|
| 2134 | Gal(b1-4)GlcNAc(b1-3)Gal(b1-4)GlcNAc(b1-3)Gal(b1-3)GalNAc |
|
| 218 | Gal(b1-?)GlcNAc(b1-6)[Gal(b1-3)]GalNAc |
|
| 2348 | Me(-3)Gal(b1-6)[Me(-3)]Gal(b1-3)[Me(-3)Gal(b1-6)[Me(-3)]Gal(b1-6)]GalNAc(b1-4)GlcNAc(b1-2)Man(a1-3)[Man(a1-6)]Man(b1-4)GlcNAc(b1-4)GlcNAc |
|
| 281 | Me(-3)Gal(b1-6)[Me(-3)]Gal(b1-3)[Me(-3)Gal(b1-6)]GalNAc(b1-4)GlcNAc(b1-2)Man(a1-6)[Man(a1-3)][Xyl(b1-2)]Man(b1-4)GlcNAc(b1-4)[Fuc(a1-6)]GlcNAc |
|
| 2896 | GlcNAc(a1-4)Gal(b1-4)[NeuGc(a2-3)]Gal(b1-3)[GlcNAc(b1-3)[Fuc(a1-4)]GlcNAc(b1-6)]GalNAc |
|
| 3209 | NeuAc(?2-?)Gal(b1-3)GalNAc+"+ NeuAc(?2-?)" |
|
| 3246 | Fuc(a1-2)Gal(b1-?)[Fuc(a1-?)]GlcNAc(b1-?)[Fuc(a1-2)Gal(b1-?)GlcNAc(b1-?)]Gal(b1-3)[Gal(b1-4)GlcNAc(b1-6)]GalNAc |
|
| 3500 | Gal(b1-?)GlcNAc(b1-6)[NeuAc(a2-3)Gal(b1-3)]GalNAc |
|
| 3529 | Fuc(a1-2)Gal(b1-4)[Fuc(a1-3)][HSO3(-6)]GlcNAc(b1-6)[NeuAc(a2-3)Gal(b1-3)]GalNAc |
|
| 540 | GalNAc(b1-4)[NeuGc(a2-3)]Gal(b1-3)GalNAc |
|
| 803 | Kdn(a2-3)[Gal(b1-4)]Gal(b1-3)[GlcNAc(b1-3)[Fuc(a1-4)]GlcNAc(b1-6)]GalNAc |
|
| 1104 | Fuc(a1-2)Gal(b1-3)[Fuc(a1-4)Kdn(a2-6)]GalNAc |
|
| 1110 | Fuc(a1-2)[GalNAc(a1-3)]Gal(b1-4)GlcNAc(b1-6)[Fuc(a1-2)Gal(b1-?)GlcNAc(b1-3)]Gal(b1-3)[Fuc(a1-2)Gal(b1-4)GlcNAc(b1-6)]GalNAc |
|
| 1487 | Fuc(a1-4)GlcNAc(b1-3)Gal(b1-3)[Gal(b1-4)GlcNAc(b1-6)]GalNAc |
|
| 170 | Fuc(a1-2)Gal(b1-?)[Fuc(a1-?)]GlcNAc(b1-?)[Fuc(a1-2)[GalNAc(a1-3)]Gal(b1-?)GlcNAc(a1-?)]Gal(b1-?)GlcNAc(b1-3)Gal(b1-3)[Gal(b1-6)]GalNAc |
|
| 2707 | Fuc(a1-2)Gal(b1-4)[Fuc(a1-3)]GlcNAc(b1-3)[Fuc(a1-2)Gal(b1-4)GlcNAc(b1-6)]Gal(b1-3)GalNAc |
|
| 2741 | Fuc(a1-2)[Gal(a1-3)]Gal(b1-4)GlcNAc(b1-6)[Gal(b1-3)]GalNAc |
|
| 2819 | Fuc(a1-2)Gal(b1-3)[Fuc(a1-4)]GlcNAc(b1-3)[Fuc(a1-3)[Gal(b1-4)]GlcNAc(b1-6)]Gal(b1-4)GlcNAc(b1-6)[NeuAc(a2-3)Gal(b1-3)]GalNAc |
|
| 2820 | - |
|
| 2832 | GlcNAc(b1-3)Gal(b1-4)GlcNAc(b1-3)Gal(b1-3)GalNAc |
|
| 2886 | Fuc(a1-2)[GalNAc(a1-3)]Gal(b1-3)[GlcNAc(b1-6)]GalNAc |
|
| 3026 | GlcNAc(b1-3)Gal(b1-3)[Gal(b1-4)GlcNAc(b1-6)]GalNAc+"+ Gal" |
|
| 3162 | GalNAc(b1-4)[NeuAc(a2-3)]GalNAc(b1-3)Gal(b1-4)Gal(b1-3)GalNAc |
|
| 3326 | Gal(b1-2)Gal(a1-3)[Fuc(a1-2)]Gal(b1-3)[Fuc(a1-2)]Gal(b1-3)GalNAc |
|
| 342 | Fuc(a1-2)Gal(b1-3)GlcNAc(b1-3)Gal(b1-4)GlcNAc(b1-6)[NeuAc(a2-3)Gal(b1-3)]GalNAc |
|
| 1431 | NeuAc(a2-3)Gal(b1-4)[Fuc(a1-3)]GlcNAc(b1-6)[NeuAc(a2-3)Gal(b1-3)]GalNAc |
|
| 1505 | Me(-3)Gal(b1-6)[Me(-3)]Gal(b1-3)[Me(-3)Gal(b1-6)[Me(-3)]Gal(b1-6)]GalNAc(b1-4)GlcNAc(b1-2)Man(a1-3)[Man(a1-6)][Xyl(b1-2)]Man(b1-4)GlcNAc(b1-4)[Fuc(a1-6)]GlcNAc |
|
| 1531 | Fuc(a1-4)GlcNAc(b1-6)[GlcNAc(b1-3)Gal(b1-3)]GalNAc |
|
| 1543 | GlcNAc(a1-4)Gal(b1-3)[Fuc(a1-4)[GlcNAc(b1-3)]GlcNAc(b1-6)]GalNAc |
|
| 1743 | Fuc(a1-2)Gal(a1-3)Gal(a1-4)Gal(b1-3)GalNAc |
|
| 1862 | Fuc(a1-3)GalNAc(b1-3)Gal(b1-4)Gal(b1-3)[NeuGc(a2-6)]GalNAc |
|
| 1943 | Fuc(a1-2)Gal(b1-4)[Fuc(a1-3)]GlcNAc(b1-6)[Fuc(a1-2)Gal(b1-3)][Fuc(a1-2)]Gal(b1-3)[NeuAc(a2-6)]GalNAc |
|
| 1955 | NeuAc(a2-6)Gal(b1-3)GalNAc |
|
| 2013 | NeuAc(a2-3)Gal(b1-4)GlcNAc(b1-3)[NeuAc(a2-6)]Gal(b1-3)[NeuAc(a2-3)Gal(b1-4)GlcNAc(b1-6)]GalNAc |
|
| 2101 | Gal(a1-3)GalNAc(a1-3)Gal(b1-3)Gal(b1-3)[NeuAc(a2-6)]GalNAc |
|
| 2195 | GalNAc(b1-4)[NeuGc(a2-3)]GalNAc(b1-3)Gal(b1-4)Gal(b1-3)[NeuGc(a2-8)NeuGc(a2-8)NeuGc(a2-6)]GalNAc |
|
| 2246 | NeuAc(a2-3)Gal(b1-3)GalNAc(a1-4)Gal(b1-3)GalNAc |
|
| 2334 | Fuc(a1-2)Gal(b1-?)GlcNAc(b1-3)[Fuc(a1-2)Gal(b1-?)GlcNAc(b1-6)]Gal(b1-3)GalNAc |
|
| 2450 | Gal(a1-4)Gal(b1-3)[Fuc(a1-2)]GalNAc |
|
| 2510 | Fuc(a1-2)Gal(b1-3)[Fuc(a1-3)GlcNAc(b1-6)]GalNAc |
|
| 1279 | NeuAc(a2-6)Gal(b1-3)GalNAc(b1-4)GlcNAc(?1-?)[GlcNAc(?1-?)]Man(a1-?)[Man(?1-?)Man(a1-?)]Man(b1-4)GlcNAc(b1-4)[Fuc(a1-6)]GlcNAc |
|
| 1285 | Fuc(a1-2)Gal(b1-3)[Fuc(a1-2)]Gal(b1-3)[HSO3(-6)GlcNAc(b1-6)]GalNAc |
|
| 1506 | Fuc(a1-2)Gal(b1-?)GlcNAc(b1-3)[Fuc(a1-2)Gal(b1-?)GlcNAc(b1-6)]Gal(b1-3)[Gal(b1-4)GlcNAc(b1-6)]GalNAc |
|
| 159 | Fuc(a1-3)[Gal(b1-4)]GlcNAc(b1-?)Gal(b1-4)GlcNAc(b1-6)[Gal(b1-3)]GalNAc |
|
| 1599 | Gal(b1-4)GlcNAc(b1-3)Gal(b1-?)GlcNAc(b1-3)Gal(b1-3)GalNAc |
|
| 1687 | Me(-3)Gal(b1-6)[Me(-3)]Gal(b1-3)[Me(-3)Gal(b1-6)[Me(-3)]Gal(b1-6)]GalNAc(b1-4)GlcNAc(b1-2)Man(a1-6)[Me(-3)Gal(b1-6)[Me(-3)]Gal(b1-3)[Me(-3)Gal(b1-6)]GalNAc(b1-4)GlcNAc(b1-2)Man(a1-3)][Xyl(b1-2)]Man(b1-4)GlcNAc(b1-4)[Fuc(a1-6)]GlcNAc |
|
| 1731 | Fuc(a1-2)[GalNAc(a1-3)]Gal(b1-4)GlcNAc(b1-3)[Fuc(a1-2)Gal(b1-4)GlcNAc(b1-6)]Gal(b1-4)GlcNAc(b1-3)Gal(b1-3)[Fuc(a1-2)Gal(b1-4)GlcNAc(b1-6)]GalNAc |
|
| 1863 | Fuc(a1-3)[Gal(b1-4)]GlcNAc(b1-3)Gal(b1-4)[Fuc(a1-3)]GlcNAc(b1-3)Gal(b1-4)[Fuc(a1-3)]GlcNAc(b1-6)[NeuAc(a2-3)Gal(b1-3)]GalNAc |
|
| 1914 | Fuc(a1-2)Gal(b1-?)GlcNAc(b1-?)[Fuc(a1-2)[GalNAc(a1-3)]Gal(b1-?)GlcNAc(a1-?)]Gal(b1-4)GlcNAc(b1-3)Gal(b1-3)GalNAc |
|
| 2052 | GlcNAc(b1-3)GlcNAc(b1-6)[NeuAc(a2-3)[Gal(b1-4)]Gal(b1-3)]GalNAc |
|
| 21 | Fuc(a1-4)GlcNAc(b1-6)Gal(b1-3)[Gal(b1-4)GlcNAc(b1-6)]GalNAc |
|
| 2125 | NeuAc(a2-3)Gal(b1-4)[Fuc(a1-3)]GlcNAc(b1-6)[Fuc(a1-2)Gal(b1-3)]GalNAc |
|
| 224 | Gal(a1-3)Gal(a1-4)Gal(b1-4)GlcNAc(b1-6)[Gal(a1-3)Gal(a1-4)Gal(b1-3)]GalNAc |
|
| 2284 | Fuc(a1-2)Gal(b1-4)GlcNAc(b1-6)[Fuc(a1-2)Gal(b1-3)]GalNAc |
|
| 2385 | Neu5,9Ac2(a2-3)Gal(b1-3)[NeuAc(a2-6)]GalNAc |
|
| 2473 | Fuc(a1-2)Gal(a1-3)[Fuc(a1-2)]Gal(b1-4)[Fuc(a1-2)]Gal(b1-3)GalNAc |
|
| 2591 | GlcNAc(b1-3)GlcNAc(b1-6)[Gal(b1-3)]GalNAc |
|
| 2604 | Fuc(a1-2)Gal(b1-3)[Fuc(a1-4)]GlcNAc(b1-3)Gal(b1-4)GlcNAc(b1-6)[Fuc(a1-2)Gal(b1-3)]GalNAc |
|
| 2641 | NeuAc(a2-3)Gal(b1-3)[NeuAc(a2-6)]GalNAc |
|
| 2806 | Gal(b1-4)[Fuc(a1-3)]GlcNAc(b1-6)[Gal(b1-3)]Gal(b1-3)GalNAc |
|
| 2918 | Fuc(a1-2)Gal(b1-3)GlcNAc(b1-3)[Fuc(a1-2)Gal(b1-4)GlcNAc(b1-6)]Gal(b1-3)GalNAc |
|
| 3080 | Gal(b1-4)[HSO3(-6)]GlcNAc(b1-6)[NeuAc(a2-3)Gal(b1-3)]GalNAc |
|
| 3274 | Gal(b1-3)GalNAc(a1-4)Gal(b1-3)GalNAc |
|
| 3325 | Fuc(a1-2)Gal(b1-3)[Fuc(a1-2)]Gal(b1-3)[GlcNAc(b1-3)GlcNAc(b1-6)]GalNAc |
|
| 406 | NeuAc(a2-3)Gal(b1-3)[HSO3(-6)]GalNAc |
|
| 499 | Fuc(a1-2)Gal(a1-3)Gal(a1-4)Gal(b1-3)[GlcNAc(b1-6)]GalNAc |
|
| 1447 | GlcNAc(a1-4)Gal(b1-4)GlcNAc(b1-6)[GlcNAc(a1-4)Gal(b1-3)]GalNAc |
|
| 1483 | Gal(a1-3)GalNAc(a1-3)[Fuc(a1-2)]Gal(b1-3)Gal(b1-3)[NeuGc(a2-6)]GalNAc |
|
| 1534 | Fuc(a1-2)Gal(a1-3)Gal(a1-4)Gal(b1-4)GlcNAc(b1-6)[Fuc(a1-2)Gal(a1-3)Gal(a1-4)Gal(b1-3)]Gal(b1-3)[GlcNAc(b1-6)]GalNAc |
|
| 188 | NeuAc(a2-6)Gal(b1-4)GlcNAc(b1-6)[NeuAc(a2-3)Gal(b1-3)]GalNAc |
|
| 1935 | Fuc(a1-2)Gal(a1-3)Gal(a1-4)Gal(b1-4)GlcNAc(b1-6)[Fuc(a1-2)Gal(b1-3)]GalNAc |
|
| 1947 | Gal(b1-3)GalNAc |
|
| 2042 | GlcNAc(a1-4)Gal(b1-3)[NeuAc(a2-6)]GalNAc |
|
| 209 | Fuc(a1-4)[Fuc(a1-5)]Kdn(a2-3)Gal(b1-3)[Fuc(a1-4)[Fuc(a1-5)]Kdn(a2-6)]GalNAc |
|
| 2238 | Gal(a1-3)GalNAc(a1-3)[Fuc(a1-2)]Gal(b1-3)[GlcNAc(b1-3)GlcNAc(b1-6)]GalNAc |
|
| 2254 | Fuc(a1-2)[Gal(b1-3)][GlcNAc(b1-6)]Gal(b1-3)[HSO3(-6)GlcNAc(b1-6)]GalNAc |
|
| 2300 | Fuc(a1-2)Gal(b1-3)GalNAc(a1-4)[NeuAc(a2-3)]Gal(b1-3)GalNAc |
|
| 252 | GalNAc(b1-3)Gal(b1-4)[Fuc(a1-3)]GlcNAc(b1-6)[Gal(b1-3)]GalNAc |
|
| 2558 | GlcA(b1-3)Gal(b1-3)[Fuc(a1-2)][Gal(b1-4)]Gal(b1-3)[HSO3(-6)GlcNAc(b1-6)]GalNAc |
|
| 2766 | NeuAc(a2-3)Gal(b1-4)[HSO3(-6)]GlcNAc(b1-6)[Gal(b1-3)]GalNAc |
|
| 2771 | Fuc(a1-2)Gal(b1-4)[Fuc(a1-3)]GlcNAc(b1-3)Gal(b1-3)GalNAc |
|
| 2778 | Fuc(a1-2)Gal(b1-4)GlcNAc(b1-3)[Fuc(a1-2)Gal(b1-4)GlcNAc(b1-6)]Gal(b1-3)[GlcNAc(a1-4)Gal(b1-4)GlcNAc(b1-6)]GalNAc |
|
| 3010 | Fuc(a1-2)GlcA(b1-3)Gal(b1-3)[Fuc(a1-2)]Gal(b1-3)[Fuc(a1-3)[HSO3(-6)]GlcNAc(b1-6)]GalNAc |
|
| 3197 | Fuc(a1-2)[Gal(a1-3)]Gal(b1-3)[Gal(b1-4)GlcNAc(b1-6)]GalNAc |
|
| 609 | Fuc(a1-2)Gal(b1-3)[Fuc(a1-2)][GlcNAc(b1-6)]Gal(b1-3)[HSO3(-6)GlcNAc(b1-6)]GalNAc |
|
| 818 | Fuc(a1-2)[Gal(b1-3)]Gal(b1-3)[GlcNAc(b1-6)]GalNAc |
|
| 1038 | Gal(b1-4)GlcNAc(b1-3)Gal(b1-4)GlcNAc(b1-6)[NeuAc(a2-3)Gal(b1-3)]GalNAc |
|
| 1166 | Me(-3)Gal(b1-6)[Me(-3)]Gal(b1-3)[Me(-3)Gal(b1-6)[Me(-3)]Gal(b1-6)]GalNAc(b1-4)GlcNAc(b1-2)Man(a1-3)[Me(-3)Gal(b1-6)[Me(-3)]Gal(b1-3)[Me(-3)Gal(b1-6)]GalNAc(b1-4)GlcNAc(b1-2)Man(a1-6)][Xyl(b1-2)]Man(b1-4)GlcNAc(b1-4)[Fuc(a1-6)]GlcNAc |
|
| 1190 | Fuc(a1-2)Gal(b1-4)[Fuc(a1-3)]GlcNAc(b1-6)[Fuc(a1-2)Gal(b1-3)]GalNAc |
|
| 1377 | GalNAc(b1-4)[NeuAc(a2-3)]Gal(b1-4)GlcNAc(b1-6)[Fuc(a1-2)Gal(b1-3)]GalNAc |
|
| 2629 | NeuAc(a2-6)Gal(b1-4)[HSO3(-6)]GlcNAc(b1-3)Gal(b1-3)[NeuAc(a2-6)]GalNAc |
|
| 276 | Fuc(a1-2)Gal(b1-3)[Fuc(a1-4)]GlcNAc(b1-3)[Gal(b1-4)GlcNAc(b1-6)]Gal(b1-4)[Fuc(a1-3)]GlcNAc(b1-6)[NeuAc(a2-3)Gal(b1-3)]GalNAc |
|
| 2954 | Fuc(a1-2)Gal(b1-4)GlcNAc(b1-6)[GlcNAc(a1-4)Gal(b1-3)]GalNAc |
|
| 449 | - |
|
| 552 | Fuc(a1-2)Gal(a1-3)Gal(a1-4)Gal(b1-4)GlcNAc(b1-6)[Fuc(a1-2)Gal(a1-3)Gal(a1-4)Gal(b1-3)]Gal(b1-3)[Gal(b1-4)GlcNAc(b1-6)]GalNAc |
|
| 564 | Gal(a1-3)GalNAc(a1-3)[Fuc(a1-2)]Gal(b1-3)[Fuc(a1-2)]Gal(b1-3)GalNAc |
|
| 576 | HSO3(-3)Gal(b1-4)[Fuc(a1-2)]Gal(b1-3)[Fuc(a1-3)[HSO3(-6)]GlcNAc(b1-6)]GalNAc |
|
| 625 | GlcNAc(a1-3)GalNAc(a1-3)[Fuc(a1-2)]Gal(b1-3)GalNAc |
|
| 662 | Fuc(a1-2)[GlcNAc(b1-3)]Gal(b1-3)[NeuAc(a2-6)]GalNAc |
|
| 750 | - |
|
| 1128 | Fuc(a1-2)Gal(b1-4)GlcNAc(b1-3)Gal(b1-3)GalNAc |
|
| 3638 | NeuAc(a2-3)Gal(b1-3)GlcNAc(b1-3)Gal(b1-3)GalNAc |
|
| 491 | Gal(b1-3)GalNAc+"+ NeuAc(a2-?)" |
|
| 505 | NeuAc(a2-3)Gal(b1-4)[Fuc(a1-3)]GlcNAc(b1-6)[HSO3(-6)Gal(b1-3)]GalNAc |
|
| 542 | Gal(b1-4)GlcNAc(b1-3)Gal(b1-3)[NeuGc(a2-6)]GalNAc |
|
| 642 | Fuc(a1-4)GlcNAc(b1-6)Gal(b1-3)[Fuc(a1-4)GlcNAc(b1-6)]GalNAc |
|
| 79 | Gal(b1-3)GlcNAc(b1-6)[Gal(b1-3)]GalNAc |
|
| 812 | Gal(a1-4)Gal(b1-4)Gal(b1-4)GlcNAc(b1-6)[NeuAc(a2-3)Gal(b1-3)]GalNAc(a1-3)GalNAc |
|
| 82 | Fuc(a1-2)Gal(b1-4)GlcNAc(b1-6)[GlcNAc(b1-3)]Gal(b1-?)GlcNAc(b1-3)[Fuc(a1-2)[GalNAc(a1-3)]Gal(b1-4)GlcNAc(b1-6)]Gal(b1-?)GlcNAc(b1-3)Gal(b1-3)[Fuc(a1-2)[GalNAc(a1-3)]Gal(b1-4)GlcNAc(b1-6)]GalNAc |
|
| 863 | HSO3(-4)Gal(b1-3)[NeuAc(a2-6)]GalNAc |
|
| 1829 | Fuc(a1-2)[Gal(a1-3)]Gal(b1-4)GlcNAc(b1-3)[GlcNAc(b1-6)]Gal(b1-4)GlcNAc(b1-3)Gal(b1-3)[Fuc(a1-2)Gal(b1-4)GlcNAc(b1-6)]GalNAc |
|
| 1948 | GalNAc(b1-4)[NeuAc(a2-3)]Gal(b1-3)GalNAc |
|
| 2017 | Fuc(a1-?)[Gal(b1-?)]GlcNAc(b1-6)[Gal(b1-3)]GalNAc |
|
| 2055 | Gal(b1-3)GlcNAc(b1-3)Gal(b1-?)GlcNAc(b1-3)Gal(b1-3)GalNAc |
|
| 2292 | NeuAc(a2-6)Gal(b1-4)GlcNAc(b1-3)Gal(b1-4)GlcNAc(b1-6)[NeuAc(a2-3)Gal(b1-3)]GalNAc |
|
| 2314 | Me(-3)Gal(b1-6)[Me(-3)]Gal(b1-3)[Me(-3)Gal(b1-6)]GalNAc(b1-4)GlcNAc(b1-2)Man(a1-3)[Me(-3)Gal(b1-6)[Me(-4)Gal(b1-3)]GalNAc(b1-4)GlcNAc(b1-2)Man(a1-6)][Xyl(b1-2)]Man(b1-4)GlcNAc(b1-4)[Fuc(a1-6)]GlcNAc |
|
| 2350 | Me(-3)Gal(b1-6)[Me(-3)]Gal(b1-3)[Me(-3)Gal(b1-6)]GalNAc(b1-4)GlcNAc(b1-2)Man(a1-3)[Man(a1-6)][Xyl(b1-2)]Man(b1-4)GlcNAc(b1-4)[Fuc(a1-6)]GlcNAc |
|
| 2455 | GlcNAc(a1-4)Gal(b1-4)GlcNAc(b1-6)[Gal(b1-3)]GalNAc |
|
| 2649 | Gal(b1-3)GalNAc(a1-4)Gal(b1-3)GalNAc(a1-4)Gal(b1-3)GalNAc |
|
| 2657 | Gal(a1-3)GalNAc(a1-3)[Fuc(a1-2)]Gal(b1-3)[Fuc(a1-2)][GlcNAc(b1-6)]Gal(b1-3)[NeuAc(a2-6)]GalNAc |
|
| 2680 | Fuc(a1-3)Fuc(a1-4)Kdn(a2-3)Gal(b1-3)[Fuc(a1-3)[GalNAc(b1-4)]GlcNAc(b1-6)]GalNAc |
|
| 2746 | Me(-3)Gal(b1-6)[Me(-3)]Gal(b1-3)[Me(-3)Gal(b1-6)]GalNAc(b1-4)GlcNAc(b1-2)Man(a1-3)[Me(-3)Gal(b1-6)[Me(-3)]Gal(b1-3)[Me(-3)Gal(b1-6)]GalNAc(b1-4)GlcNAc(b1-2)Man(a1-6)][Xyl(b1-2)]Man(b1-4)GlcNAc(b1-4)[Fuc(a1-6)]GlcNAc |
|
| 2792 | Gal(a1-3)GalNAc(a1-3)[Fuc(a1-2)]Gal(b1-3)Gal(b1-3)GalNAc |
|
| 2801 | Fuc(a1-2)Gal(b1-?)GlcNAc(b1-3)Gal(b1-3)[Fuc(a1-2)Gal(b1-4)GlcNAc(b1-6)]GalNAc |
|
| 2833 | Fuc(a1-2)Gal(b1-4)GlcNAc(b1-3)[Fuc(a1-2)Gal(b1-4)GlcNAc(b1-6)]Gal(b1-3)GalNAc |
|
| 2879 | Gal(b1-4)GlcNAc(b1-3)Gal(b1-4)GlcNAc(b1-3)Gal(b1-4)GlcNAc(b1-3)Gal(b1-3)GalNAc |
|
| 3022 | Gal(b1-4)GlcNAc(b1-3)Gal(b1-4)GlcNAc(b1-3)Gal(b1-4)GlcNAc(b1-6)[NeuAc(a2-3)Gal(b1-3)]GalNAc+"+ Fuc(a1-3)" |
|
| 428 | Fuc(a1-2)Gal(b1-3)GalNAc(b1-4)GlcNAc(b1-2)Man(a1-3)[Me(-3)Gal(b1-3)GalNAc(b1-4)GlcNAc(b1-2)Man(a1-6)][Xyl(b1-2)]Man(b1-4)GlcNAc(b1-4)GlcNAc |
|
| 582 | Fuc(a1-?)[Gal(b1-?)]GlcNAc(b1-?)Gal(b1-4)GlcNAc(b1-6)[NeuAc(a2-3)Gal(b1-3)]GalNAc |
|
| 606 | Me(-3)Gal(b1-6)[Me(-3)]Gal(b1-6)[Me(-3)]Gal(b1-3)[Me(-3)Gal(b1-6)]GalNAc(b1-4)GlcNAc(b1-2)Man(a1-3)[Man(a1-6)][Xyl(b1-2)]Man(b1-4)GlcNAc(b1-4)GlcNAc |
|
| 696 | Fuc(a1-2)Gal(b1-3)GlcNAc(b1-3)Gal(b1-4)GlcNAc(b1-6)[Gal(b1-3)]GalNAc |
|
| 805 | Neu5,9Ac2(a2-3)Gal(b1-3)GalNAc |
|
| 1000 | Me(-3)Gal(b1-6)[Me(-3)]Gal(b1-3)[Me(-3)Gal(b1-6)[Me(-3)]Gal(b1-6)]GalNAc(b1-4)GlcNAc(b1-2)Man(a1-6)[Me(-3)Gal(b1-6)[Me(-3)]Gal(b1-3)[Me(-3)Gal(b1-6)]GalNAc(b1-4)GlcNAc(b1-2)Man(a1-3)][Xyl(b1-2)]Man(b1-4)GlcNAc(b1-4)GlcNAc |
|
| 1185 | NeuAc(a2-3)Gal(b1-4)[Fuc(a1-3)]GlcNAc(b1-6)[Gal(b1-3)]GalNAc |
|
| 1419 | NeuGc(a2-3)Gal(b1-4)GlcNAc(b1-6)[Gal(b1-3)]GalNAc |
|
| 1507 | Gal(b1-4)GlcNAc(b1-6)Gal(b1-4)GlcNAc(b1-6)[NeuAc(a2-3)Gal(b1-3)]GalNAc |
|
| 1573 | GalNAc(b1-4)[NeuGc(a2-3)]Gal(b1-4)GlcNAc(b1-6)[Gal(b1-3)]GalNAc |
|
| 174 | Kdn(a2-3)Gal(b1-3)[GlcNAc(a1-4)Gal(b1-4)GlcNAc(b1-3)[Fuc(a1-4)]GlcNAc(b1-6)]GalNAc |
|
| 1700 | Gal(b1-3)GlcNAc(b1-3)Gal(b1-3)GlcNAc(b1-3)Gal(b1-3)GalNAc |
|
| 1956 | Gal(b1-4)GlcNAc(b1-6)[NeuGc(a2-3)Gal(b1-3)]GalNAc |
|
| 2339 | Fuc(a1-3)[Gal(b1-4)]GlcNAc(b1-?)Gal(b1-4)GlcNAc(b1-?)Gal(b1-4)GlcNAc(b1-6)[Gal(b1-3)]GalNAc |
|
| 2376 | NeuAc(a2-3)Gal(b1-4)GlcNAc(b1-6)[Gal(b1-3)]GalNAc |
|
| 241 | Fuc(a1-2)Gal(b1-4)GlcNAc(b1-6)[Fuc(a1-2)Gal(b1-?)GlcNAc(b1-3)]Gal(b1-?)GlcNAc(b1-3)[Fuc(a1-2)Gal(b1-4)GlcNAc(b1-6)]Gal(b1-?)GlcNAc(b1-3)Gal(b1-3)[Fuc(a1-2)Gal(b1-4)GlcNAc(b1-6)]GalNAc |
|
| 2418 | NeuAc(a2-3)Gal(b1-4)GlcNAc(b1-3)Gal(b1-4)GlcNAc(b1-3)Gal(b1-4)GlcNAc(b1-3)Gal(b1-4)GlcNAc(b1-6)[NeuAc(a2-3)Gal(b1-3)]GalNAc |
|
| 2515 | GlcNAc(b1-3)Gal(b1-4)GlcNAc(b1-3)Gal(b1-3)[Fuc(a1-2)Gal(b1-4)GlcNAc(b1-6)]GalNAc |
|
| 2531 | Gal(b1-3)Gal(b1-3)GalNAc |
|
| 2631 | GlcA(b1-3)Gal(b1-3)[Fuc(a1-2)][Gal(b1-4)]Gal(b1-3)[Fuc(a1-3)[HSO3(-6)]GlcNAc(b1-6)]GalNAc |
|
| 266 | Fuc(a1-4)GlcNAc(b1-6)[GlcNAc(b1-6)Gal(b1-3)]GalNAc |
|
| 2955 | - |
|
| 3025 | Fuc(a1-2)[GalNAc(a1-3)]Gal(b1-3)[Fuc(a1-2)]Gal(b1-3)[NeuGc(a2-6)]GalNAc |
|
| 3350 | Fuc(a1-2)[GalNAc(a1-3)]Gal(b1-3)[NeuAc(a2-6)]GalNAc |
|
| 3362 | GalNAc(b1-4)[NeuGc(a2-3)]GalNAc(b1-3)Gal(b1-4)Gal(b1-3)[NeuGc(a2-8)NeuGc(a2-6)]GalNAc |
|
| 3437 | GlcNAc(a1-4)Gal(b1-4)GlcNAc(b1-3)GlcNAc(b1-6)[Gal(b1-4)[Kdn(a2-3)]Gal(b1-3)]GalNAc |
|
| 377 | NeuGc(a2-3)Gal(b1-4)GlcNAc(b1-?)[Gal(b1-4)GlcNAc(b1-?)]Gal(b1-3)GalNAc |
|
| 442 | Fuc(a1-2)Gal(b1-3)[Fuc(a1-2)]Gal(b1-3)[GlcNAc(b1-6)]GalNAc |
|
| 498 | Fuc(a1-2)[GalNAc(a1-3)]Gal(b1-4)GlcNAc(b1-6)[Fuc(a1-2)[GalNAc(a1-3)]Gal(b1-?)GlcNAc(b1-3)]Gal(b1-?)GlcNAc(b1-3)Gal(b1-3)[Fuc(a1-2)[GalNAc(a1-3)]Gal(b1-4)GlcNAc(b1-6)]GalNAc |
|
| 637 | Fuc(a1-2)[Gal(a1-3)]Gal(b1-4)GlcNAc(b1-6)[Fuc(a1-2)[Gal(a1-3)]Gal(b1-3)]GalNAc |
|
| 674 | Fuc(a1-4)[GlcNAc(b1-3)]GlcNAc(b1-6)[Fuc(a1-2)Gal(b1-3)]GalNAc |
|
| 677 | Fuc(a1-2)Gal(b1-4)GlcNAc(b1-6)[Fuc(a1-2)Gal(b1-4)GlcNAc(b1-3)]Gal(b1-4)GlcNAc(b1-3)Gal(b1-3)[Fuc(a1-2)Gal(b1-4)GlcNAc(b1-6)]GalNAc |
|
| 762 | Fuc(a1-3)GlcNAc(b1-6)[NeuAc(a2-3)Gal(b1-3)]GalNAc |
|
| 77 | Me(-3)Gal(b1-6)[Me(-3)]Gal(b1-3)[Me(-3)Gal(b1-6)[Me(-3)]Gal(b1-6)]GalNAc(b1-4)GlcNAc(b1-2)Man(a1-6)[Man(a1-3)][Xyl(b1-2)]Man(b1-4)GlcNAc(b1-4)[Fuc(a1-6)]GlcNAc |
|
| 789 | Fuc(a1-2)[Gal(b1-4)]Gal(b1-3)GalNAc |
|
| 850 | NeuGc(a2-3)Gal(b1-4)GlcNAc(b1-3)Gal(b1-3)GalNAc |
|
| 1033 | Fuc(a1-2)Gal(a1-3)Gal(a1-4)Gal(b1-4)GlcNAc(b1-6)[Fuc(a1-2)Gal(a1-3)Gal(a1-4)Gal(b1-3)]Gal(b1-3)[Gal(a1-3)Gal(a1-4)Gal(b1-4)GlcNAc(b1-6)]GalNAc |
|
| 1054 | Gal(b1-4)GlcNAc(b1-6)[NeuAc(a2-3)Gal(b1-3)]GalNAc(a1-3)GalNAc |
|
| 1142 | Gal(b1-4)GlcNAc(b1-6)[Gal(b1-3)]GalNAc+"+ Fuc(a1-2)" |
|
| 1154 | NeuAc(a2-3)Gal(b1-4)GlcNAc(?1-6)[GalNAc(a1-3)Gal(b1-3)]GalNAc |
|
| 1404 | Fuc(a1-4)[Gal(b1-3)]GlcNAc(b1-6)[Gal(b1-3)]GalNAc |
|
| 1654 | Fuc(a1-3)[Gal(b1-4)]GlcNAc(b1-6)[Fuc(a1-2)Gal(b1-3)][Fuc(a1-2)]Gal(b1-3)[NeuAc(a2-6)]GalNAc |
|
| 1666 | GlcNAc(b1-3)[NeuAc(a2-6)]Gal(b1-3)[Fuc(a1-2)Gal(b1-4)GlcNAc(b1-6)]GalNAc |
|
| 179 | Gal(b1-4)GlcNAc(b1-3)[Gal(b1-4)GlcNAc(b1-6)]Gal(b1-3)[Gal(b1-4)GlcNAc(b1-6)]GalNAc |
|
| 216 | NeuAc(a2-3)Gal(b1-4)[HSO3(-6)]GlcNAc(b1-3)Gal(b1-4)[HSO3(-6)]GlcNAc(b1-3)Gal(b1-4)[HSO3(-6)]GlcNAc(b1-3)Gal(b1-4)GlcNAc(b1-3)Gal(b1-3)GalNAc |
|
| 367 | NeuAc(a2-3)Gal(b1-3)GlcNAc(b1-3)Gal(b1-3)[NeuAc(a2-3)Gal(b1-4)GlcNAc(b1-6)]GalNAc |
|
| 3679 | GalNAc(b1-4)[NeuAc(a2-3)]GalNAc(b1-3)Gal(b1-4)Gal(b1-3)[NeuAc(a2-6)]GalNAc |
|
| 405 | Fuc(a1-3)GlcNAc(b1-6)[Gal(b1-3)]Gal(b1-3)[Fuc(a1-3)GlcNAc(b1-6)]GalNAc |
|
| 448 | Gal(b1-3)GalNAc(a1-4)Gal(b1-4)[GlcA(b1-3)Gal(b1-3)][Fuc(a1-2)]Gal(b1-3)GalNAc |
|
| 45 | GlcNAc(a1-4)Gal(b1-4)[Kdn(a2-3)]Gal(b1-3)[GlcNAc(a1-4)[Fuc(a1-2)]Gal(b1-4)GlcNAc(b1-3)[Fuc(a1-4)]GlcNAc(b1-6)]GalNAc |
|
| 455 | Fuc(a1-2)Gal(b1-4)GlcNAc(b1-6)[Fuc(a1-4)Kdn(a2-3)Gal(b1-3)]GalNAc |
|
| 492 | Gal(b1-4)[HSO3(-6)]GlcNAc(b1-3)Gal(b1-4)[HSO3(-6)]GlcNAc(b1-3)Gal(b1-4)[HSO3(-6)]GlcNAc(b1-3)Gal(b1-4)[HSO3(-6)]GlcNAc(b1-3)Gal(b1-4)GlcNAc(b1-3)Gal(b1-3)GalNAc |
|
| 496 | Fuc(a1-2)Gal(b1-3)[Fuc(a1-4)]GlcNAc(b1-3)Gal(b1-3)GalNAc |
|
| 530 | Fuc(a1-2)[GalNAc(a1-3)]Gal(b1-?)GlcNAc(b1-3)[Fuc(a1-2)Gal(b1-4)GlcNAc(b1-6)]Gal(b1-3)[Fuc(a1-2)[GalNAc(a1-3)]Gal(b1-4)GlcNAc(b1-6)]GalNAc |
|
| 543 | NeuAc(a2-3)Gal(b1-4)GlcNAc(b1-3)[HSO3(-6)]Gal(b1-3)GalNAc |
|
| 579 | Me(-3)Gal(b1-3)GalNAc(b1-4)GlcNAc(b1-2)Man(a1-6)[Me(-3)Man(a1-3)][Xyl(b1-2)]Man(b1-4)GlcNAc(b1-4)GlcNAc |
|
| 739 | NeuGc(a2-3)Gal(b1-4)[HSO3(-6)]GlcNAc(b1-3)Gal(b1-4)GlcNAc(b1-3)Gal(b1-3)GalNAc |
|
| 942 | Fuc(a1-2)Gal(b1-4)GlcNAc(b1-6)[Fuc(a1-2)Gal(b1-?)GlcNAc(b1-3)]Gal(b1-?)GlcNAc(b1-3)[Fuc(a1-2)[GalNAc(a1-3)]Gal(b1-4)GlcNAc(b1-6)]Gal(b1-?)GlcNAc(b1-3)Gal(b1-3)[Fuc(a1-2)[GalNAc(a1-3)]Gal(b1-4)GlcNAc(b1-6)]GalNAc |
|
| 1085 | Fuc(a1-2)Gal(b1-4)[Fuc(a1-3)]GlcNAc(b1-3)[Fuc(a1-2)]Gal(b1-4)GlcNAc(b1-6)[Fuc(a1-2)Gal(b1-3)]GalNAc |
|
| 1716 | Gal(b1-3)GlcNAc(b1-3)Gal(b1-3)[NeuAc(a2-3)Gal(b1-4)GlcNAc(b1-6)]GalNAc |
|
| 1741 | GlcNAc(a1-4)Gal(b1-4)GlcNAc(b1-3)GlcNAc(b1-6)[Kdn(a2-3)Gal(b1-3)]GalNAc |
|
| 200 | Fuc(a1-2)Gal(b1-3)GlcNAc(b1-3)Gal(b1-3)[Gal(b1-4)GlcNAc(b1-6)]GalNAc |
|
| 3364 | Gal(b1-4)Gal(b1-3)[NeuGc(a2-6)]GalNAc |
|
| 707 | HexNAc(b1-?)Gal(b1-3)[Gal(a1-3)Gal(b1-4)GlcNAc(b1-6)]GalNAc |
|
| 820 | Gal(a1-3)GalNAc(a1-3)[Fuc(a1-2)]Gal(b1-3)[NeuGc(a2-6)]GalNAc |
|
| 1199 | Fuc(a1-2)Gal(b1-3)GlcNAc(b1-3)[Gal(b1-4)GlcNAc(b1-6)]Gal(b1-3)[Gal(b1-4)GlcNAc(b1-6)]GalNAc |
|
| 2020 | Fuc(a1-3)[Gal(b1-4)]GlcNAc(b1-6)[NeuAc(a2-3)Gal(b1-3)]GalNAc |
|
| 2840 | Fuc(a1-3)[GalNAc(b1-4)]GlcNAc(b1-6)[Kdn(a2-3)Gal(b1-3)]GalNAc |
|
| 3415 | HSO3(-3)Gal(b1-4)[Fuc(a1-3)]GlcNAc(b1-6)[Fuc(a1-2)Gal(b1-3)]GalNAc |
|
| 374 | Fuc(a1-3)GlcNAc(a1-3)GalNAc(a1-3)[Fuc(a1-2)]Gal(b1-3)[HSO3(-6)GlcNAc(b1-6)]GalNAc |
|
| 425 | Gal(b1-4)Gal(b1-4)GlcNAc(b1-6)[NeuAc(a2-3)Gal(b1-3)]GalNAc |
|
| 450 | Gal(b1-4)GlcNAc(b1-3)Gal(b1-4)GlcNAc(b1-3)Gal(b1-4)GlcNAc(b1-6)[NeuAc(a2-3)Gal(b1-3)]GalNAc+"+ 2 x Fuc(a1-3)" |
|
| 2685 | Fuc(a1-2)Gal(b1-?)GlcNAc(b1-3)Gal(b1-3)GalNAc |
|
| 2699 | NeuGc(a2-3)Gal(b1-4)[HSO3(-6)]GlcNAc(b1-3)Gal(b1-4)[HSO3(-6)]GlcNAc(b1-3)Gal(b1-4)[HSO3(-6)]GlcNAc(b1-3)Gal(b1-3)GalNAc |
|
| 295 | NeuAc(a2-3)Gal(b1-?)GlcNAc(b1-6)[NeuAc(a2-3)Gal(b1-3)]GalNAc |
|
| 2963 | Gal(b1-3)GlcNAc(b1-3)[Gal(b1-4)GlcNAc(b1-6)]Gal(b1-3)GalNAc |
|
| 2985 | Fuc(a1-4)[GlcNAc(b1-3)]GlcNAc(b1-6)[GlcA(b1-3)Gal(b1-3)]GalNAc |
|
| 319 | Fuc(a1-3)[Gal(b1-4)]GlcNAc(b1-6)[Gal(b1-3)]GalNAc |
|
| 3259 | Fuc(a1-2)[GalNAc(a1-3)]Gal(b1-?)GlcNAc(b1-3)Gal(b1-3)[Fuc(a1-2)[GalNAc(a1-3)]Gal(b1-4)GlcNAc(b1-6)]GalNAc |
|
| 3280 | Fuc(a1-2)Gal(a1-3)Gal(a1-4)Gal(b1-3)[Gal(a1-4)Gal(b1-4)GlcNAc(b1-6)]GalNAc |
|
| 3492 | HSO3(-3)Gal(b1-4)Gal(b1-3)GalNAc |
|
| 3560 | Gal(b1-3)GlcNAc(a1-3)[Fuc(a1-2)]Gal(b1-4)GlcNAc(b1-6)[Fuc(a1-2)[GalNAc(a1-3)]Gal(b1-3)]GalNAc |
|
| 3580 | Gal(b1-4)GlcNAc(b1-3)Gal(b1-4)GlcNAc(b1-3)Gal(b1-4)GlcNAc(b1-6)[Gal(b1-3)]GalNAc |
|
| 395 | GalNAc(a1-4)Gal(b1-4)[GlcA(b1-3)Gal(b1-3)][Fuc(a1-2)]Gal(b1-3)GalNAc |
|
| 481 | Fuc(a1-2)[Gal(a1-3)]Gal(b1-3)GalNAc |
|
| 595 | Fuc(a1-2)Gal(b1-4)GlcNAc(b1-4)Gal(b1-3)[NeuAc(a2-6)]GalNAc |
|
| 616 | Gal(a1-3)Gal(a1-4)Gal(b1-4)GlcNAc(b1-6)[Fuc(a1-2)Gal(a1-3)Gal(a1-4)Gal(b1-3)]GalNAc |
|
| 676 | GalNAc(b1-3)Gal(b1-4)Gal(b1-3)[NeuGc(a2-6)]GalNAc |
|
| 1928 | Fuc(a1-2)[GalNAc(a1-3)]Gal(b1-4)GlcNAc(b1-6)[GlcNAc(b1-3)Gal(b1-3)]GalNAc |
|
| 2535 | Fuc(a1-2)Gal(b1-3)GlcNAc(b1-3)[Fuc(a1-2)Gal(b1-4)GlcNAc(b1-6)]Gal(b1-3)[GlcNAc(b1-6)]GalNAc |
|
| 2635 | HSO3(-3)GlcA(b1-3)[Gal(b1-4)]Gal(b1-4)[Fuc(a1-2)]Gal(b1-3)GalNAc |
|
| 2688 | GalNAc(b1-3)Gal(b1-4)Gal(b1-3)[NeuAc(a2-6)]GalNAc |
|
| 2952 | Fuc(a1-2)Gal(b1-3)[Fuc(a1-4)]GlcNAc(b1-6)[Gal(b1-3)]GalNAc |
|
| 521 | Fuc(a1-2)[Gal(a1-3)]Gal(b1-3)[HSO3(-6)GlcNAc(b1-6)]GalNAc |
|
| 1146 | GalNAc(b1-4)[NeuAc(a2-3)]Gal(b1-4)GlcNAc(b1-6)[Fuc(a1-2)[Gal(a1-3)]Gal(b1-3)]GalNAc |
|
| 1150 | Gal(b1-2)Gal(a1-3)[Fuc(a1-2)]Gal(b1-3)[GlcNAc(b1-6)]GalNAc |
|
| 1169 | Fuc(a1-4)[Gal(b1-3)]GlcNAc(b1-3)Gal(b1-4)GlcNAc(b1-3)Gal(b1-4)[Fuc(a1-3)]GlcNAc(b1-6)[NeuAc(a2-3)Gal(b1-3)]GalNAc |
|
| 1294 | Fuc(a1-2)Gal(b1-3)[HSO3(-?)GlcNAc(b1-6)]GalNAc |
|
| 1346 | Fuc(a1-2)Gal(b1-3)GalNAc(b1-4)GlcNAc(b1-2)Man(a1-3)[Man(a1-6)][Xyl(b1-2)]Man(b1-4)GlcNAc(b1-4)GlcNAc |
|
| 1282 | HSO3(-4)GalNAc(b1-4)GlcNAc(b1-6)[Gal(b1-3)]GalNAc |
|
| 1503 | Gal(a1-4)GalNAc(b1-4)[NeuGc(a2-3)]Gal(b1-3)GalNAc |
|
| 1651 | NeuAc(a2-?)Gal(b1-3)GalNAc |
|
| 2434 | Fuc(a1-2)[GlcNAc(a1-4)]Gal(b1-4)GlcNAc(b1-3)[Fuc(a1-4)]GlcNAc(b1-6)[Kdn(a2-3)Gal(b1-3)]GalNAc |
|
| 2815 | Fuc(a1-3)GlcNAc(b1-6)[GalNAc(b1-3)Gal(b1-3)]Gal(b1-3)GalNAc |
|
| 2858 | GalNAc(b1-4)[NeuAc(a2-3)]Gal(b1-3)[GlcNAc(b1-6)]GalNAc |
|
| 3490 | Gal(b1-3)[NeuAc(a2-6)]GalNAc |
|
| 3110 | Fuc(a1-4)[Gal(b1-3)]GlcNAc(b1-3)Gal(b1-4)GlcNAc(b1-6)[Gal(b1-3)]GalNAc |
|
| 323 | NeuAc(a2-3)Gal(b1-4)GlcNAc(b1-3)Gal(b1-4)GlcNAc(b1-3)Gal(b1-4)GlcNAc(b1-3)Gal(b1-4)GlcNAc(b1-3)Gal(b1-4)GlcNAc(b1-6)[NeuAc(a2-3)Gal(b1-3)]GalNAc |
|
| 3291 | NeuGc(a2-8)NeuGc(a2-8)NeuGc(a2-8)NeuGc(a2-8)NeuGc(a2-6)[Gal(b1-3)]GalNAc |
|
| 336 | Gal(b1-3)GalNAc(a1-4)Gal(b1-3)GalNAc(a1-4)Gal(b1-3)GalNAc(a1-4)Gal(b1-3)GalNAc |
|
| 351 | Fuc(a1-4)[Gal(b1-3)]GlcNAc(b1-3)[Gal(b1-4)GlcNAc(b1-6)]Gal(b1-3)GalNAc |
|
| 3574 | Fuc(a1-2)Gal(b1-4)[Fuc(a1-3)]GlcNAc(b1-3)[Gal(b1-4)GlcNAc(b1-6)]Gal(b1-3)GalNAc |
|
| 3632 | Gal(b1-4)[HSO3(-6)]GlcNAc(b1-3)Gal(b1-4)GlcNAc(b1-3)Gal(b1-3)GalNAc |
|
| 535 | Fuc(a1-3)[Gal(b1-4)]GlcNAc(b1-?)Gal(b1-4)GlcNAc(b1-6)[NeuAc(a2-3)Gal(b1-3)]GalNAc |
|
| 859 | Gal(b1-4)GlcNAc(b1-3)Gal(b1-3)GalNAc |
|
| 935 | GlcNAc(a1-4)Gal(b1-3)[GlcNAc(a1-4)Gal(b1-4)GlcNAc(b1-3)GlcNAc(b1-6)]GalNAc |
|
| 1495 | GalNAc(a1-3)[Fuc(a1-2)]Gal(b1-3/4)GlcNAc(b1-3/6)[GalNAc(a1-3)[Fuc(a1-2)]Gal(b1-3/4)[Fuc(a1-3/4)]GlcNAc(b1-3/6)]Gal(b1-3/4)GlcNAc(b1-3)Gal(b1-3)[Gal(b1-4)GlcNAc(b1-6)]GalNAc |
|
| 904 | Gal(a1-3)GalNAc(a1-3)[Fuc(a1-2)]Gal(b1-3)[GlcNAc(b1-6)]Gal(b1-3)GalNAc |
|
| 940 | GlcNAc(b1-3)Gal(b1-3)[NeuAc(a2-6)]GalNAc |
|
| 1123 | Fuc(a1-2)Gal(b1-3)[Fuc(a1-2)][GlcNAc(b1-6)]Gal(b1-3)[Fuc(a1-4)[GlcNAc(b1-3)]GlcNAc(b1-6)]GalNAc |
|
| 1160 | NeuAc(a2-3)Gal(b1-4)[Fuc(a1-3)]GlcNAc(b1-3)Gal(b1-3)GalNAc |
|
| 1184 | Fuc(a1-3)[Gal(b1-4)]GlcNAc(b1-?)Gal(b1-4)GlcNAc(b1-?)Gal(b1-4)GlcNAc(b1-6)[NeuAc(a2-3)Gal(b1-3)]GalNAc |
|
| 125 | Fuc(a1-2)Gal(b1-3)[Fuc(a1-2)]Gal(b1-3)[Fuc(a1-4)[GlcNAc(b1-3)]GlcNAc(b1-6)]GalNAc |
|
| 1518 | Me(-3)Gal(b1-6)[Me(-4)Gal(b1-3)]GalNAc(b1-4)GlcNAc(b1-2)Man(a1-3)[Man(a1-6)][Xyl(b1-2)]Man(b1-4)GlcNAc(b1-4)GlcNAc |
|
| 1596 | Fuc(a1-3)[Gal(b1-4)]GlcNAc(b1-3)Gal(b1-4)[Fuc(a1-3)]GlcNAc(b1-3)Gal(b1-3)GalNAc |
|
| 1617 | GlcNAc(a1-4)GlcNAc(b1-4)Gal(b1-3)GalNAc |
|
| 1717 | GalNAc(b1-4)[NeuGc(a2-3)]GalNAc(b1-3)Gal(b1-4)Gal(b1-3)[NeuAc(a2-6)]GalNAc |
|
| 1805 | Fuc(a1-3)[Gal(b1-4)][HSO3(-6)]GlcNAc(b1-6)[NeuAc(a2-3)Gal(b1-3)]GalNAc |
|
| 1940 | Fuc(a1-3)GalNAc(a1-6)[Gal(b1-3)]Gal(b1-3)GalNAc |
|
| 2291 | Fuc(a1-3)[Gal(b1-4)]GlcNAc(b1-3)Gal(b1-3)[Gal(b1-4)GlcNAc(b1-6)]GalNAc |
|
| 2359 | Me(-3)Gal(b1-3)GalNAc(b1-4)GlcNAc(b1-2)Man(a1-3)[Me(-3)Gal(b1-3)GalNAc(b1-4)GlcNAc(b1-2)Man(a1-6)][Xyl(b1-2)]Man(b1-4)GlcNAc(b1-4)GlcNAc |
|
| 246 | Gal(b1-3)GalNAc(a1-4)Gal(b1-4)[GlcA(b1-3)Gal(b1-3)][Fuc(a1-2)]Gal(b1-3)[Fuc(a1-3)[HSO3(-6)]GlcNAc(b1-6)]GalNAc |
|
| 2821 | NeuAc(a2-6)Gal(b1-4)GlcNAc(b1-3)Gal(b1-3)[NeuAc(a2-3)Gal(b1-4)GlcNAc(b1-6)]GalNAc |
|
| 2928 | Fuc(a1-2)[Gal(a1-4)]Gal(b1-3)[GlcNAc(b1-6)]GalNAc |
|
| 3028 | NeuGc(a2-3)Gal(b1-3)[NeuAc(a2-6)]GalNAc |
|
| 3116 | HSO3(-6)GlcNAc(b1-6)[NeuAc(a2-3)Gal(b1-3)]GalNAc |
|
| 322 | Fuc(a1-2)Gal(b1-4)GlcNAc(b1-3)[GlcNAc(a1-4)Gal(b1-4)GlcNAc(b1-6)]Gal(b1-3)[Fuc(a1-2)Gal(b1-4)GlcNAc(b1-6)]GalNAc |
|
| 3241 | Fuc(a1-4)[Gal(b1-3)]GlcNAc(b1-3)[Gal(b1-4)GlcNAc(b1-6)]Gal(b1-3)[Gal(b1-4)GlcNAc(b1-6)]GalNAc |
|
| 3318 | Gal(b1-3)[GlcNAc(b1-6)]GalNAc |
|
| 3331 | Fuc(a1-2)[GalNAc(a1-3)]Gal(b1-3)[HSO3(-6)GlcNAc(b1-6)]GalNAc |
|
| 3479 | Fuc(a1-2)Gal(b1-3)GalNAc(a1-4)Gal(b1-3)GalNAc |
|
| 3531 | Fuc(a1-2)[GalNAc(a1-3)]Gal(b1-?)GlcNAc(b1-3)Gal(b1-3)[Gal(b1-6)]GalNAc |
|
| 409 | Fuc(a1-2)[GalNAc(a1-3)]Gal(b1-3)[NeuGc(a2-6)]GalNAc |
|
| 646 | HSO3(-6)[NeuAc(a2-3)]Gal(b1-4)GlcNAc(b1-6)[NeuAc(a2-3)Gal(b1-3)]GalNAc |
|
| 999 | dAlt(b1-3)GalNAc(b1-3)Gal(b1-4)Gal(b1-3)GalNAc | - |
| 1111 | Fuc(a1-2)[Gal(b1-3)][Gal(b1-4)]Gal(b1-3)GalNAc |
|
| 1301 | Fuc(a1-2)Gal(b1-3)GlcNAc(b1-3)Gal(b1-3)[Fuc(a1-2)[GalNAc(a1-3)]Gal(b1-4)GlcNAc(b1-6)]GalNAc |
|
| 1395 | NeuGc(a2-8)NeuGc(a2-8)NeuGc(a2-8)NeuGc(a2-8)NeuGc(a2-8)NeuGc(a2-6)[Fuc(a1-3)GalNAc(b1-3)Gal(b1-4)Gal(b1-3)]GalNAc |
|
| 1408 | GalNAc(b1-4)[NeuAc(a2-3)]Gal(b1-3)GalNAc(a1-4)Gal(b1-3)GalNAc |
|
| 1423 | Fuc(a1-2)Gal(b1-4)GlcNAc(b1-6)[Gal(b1-?)GlcNAc(b1-3)Gal(b1-3)]GalNAc |
|
| 2365 | Me(-3)Gal(b1-6)[Me(-3)]Gal(b1-3)[Me(-3)Gal(b1-6)]GalNAc(b1-4)GlcNAc(b1-2)Man(a1-3)[Man(a1-6)][Xyl(b1-2)]Man(b1-4)GlcNAc(b1-4)GlcNAc |
|
| 2396 | GlcNAc(b1-3)Gal(b1-3)[Fuc(a1-2)Gal(b1-4)GlcNAc(b1-6)]GalNAc |
|
| 2717 | GlcNAc(a1-4)Gal(b1-4)[Kdn(a2-3)]Gal(b1-3)[GlcNAc(a1-4)Gal(b1-4)GlcNAc(b1-3)[Fuc(a1-4)]GlcNAc(b1-6)]GalNAc |
|
| 2969 | Gal(b1-3)GlcNAc(b1-3)Gal(b1-4)GlcNAc(b1-6)[Gal(b1-3)]GalNAc |
|
| 3194 | HSO3(-3)GlcA(b1-3)Gal(b1-4)[Fuc(a1-2)]Gal(b1-3)GalNAc |
|
| 3245 | HSO3(-3)Gal(b1-3)[Fuc(a1-2)]Gal(b1-3)[GlcNAc(b1-6)]GalNAc |
|
| 1135 | Fuc(a1-2)Gal(b1-4)GlcNAc(b1-3)Gal(b1-3)[NeuAc(a2-6)]GalNAc |
|
| 2586 | Gal(b1-4)GlcNAc(b1-6)[NeuAc(a2-3)Gal(b1-3)]GalNAc |
|
| 2617 | NeuAc(?2-?)Gal(?1-?)GlcNAc(b1-6)[NeuAc(?2-?)Gal(b1-3)]GalNAc |
|
| 2674 | Gal(b1-4)GlcNAc(b1-3)Gal(b1-4)GlcNAc(b1-3)Gal(b1-4)GlcNAc(b1-3)Gal(b1-4)GlcNAc(b1-6)[Gal(b1-3)]GalNAc |
|
| 2742 | HSO3(-3)GlcA(b1-3)Gal(b1-3)[Fuc(a1-2)][Gal(b1-4)]Gal(b1-3)GalNAc |
|
| 2799 | Fuc(a1-4)[Fuc(a1-5)]Kdn(a2-3)Gal(b1-3)[Fuc(a1-2)Gal(b1-4)[Fuc(a1-3)]GlcNAc(b1-6)]GalNAc |
|
| 2830 | NeuAc(a2-3)Gal(b1-4)GlcNAc(b1-6)[HSO3(-6)Gal(b1-3)]GalNAc |
|
| 3226 | Fuc(a1-2)Gal(b1-3)GalNAc(a1-4)Gal(b1-3)[NeuAc(a2-6)]GalNAc |
|
| 3251 | Gal(b1-4)GlcNAc(b1-6)[Gal(b1-3)]GalNAc |
|
| 3281 | Fuc(a1-2)[Gal(b1-3)]Gal(b1-3)[Fuc(a1-3)GlcNAc(b1-6)]GalNAc |
|
| 3358 | NeuAc(a2-3)Gal(b1-4)[Fuc(a1-3)]GlcNAc(b1-3)Gal(b1-4)[Fuc(a1-3)]GlcNAc(b1-3)Gal(b1-4)[Fuc(a1-3)]GlcNAc(b1-6)[Gal(b1-3)]GalNAc |
|
| 1915 | Me(-3)Gal(b1-6)[Me(-3)]Gal(b1-6)[Me(-3)]Gal(b1-3)[Me(-3)Gal(b1-6)]GalNAc(b1-4)GlcNAc(b1-2)Man(a1-6)[Me(-3)Gal(b1-6)[Me(-3)]Gal(b1-3)[Me(-3)Gal(b1-6)]GalNAc(b1-4)GlcNAc(b1-2)Man(a1-3)][Xyl(b1-2)]Man(b1-4)GlcNAc(b1-4)[Fuc(a1-6)]GlcNAc |
|
| 2016 | Fuc(a1-2)[Gal(a1-3)]Gal(b1-?)GlcNAc(b1-3)[Fuc(a1-2)[Gal(a1-3)]Gal(b1-?)GlcNAc(b1-6)]Gal(b1-4)GlcNAc(b1-3)Gal(b1-3)[Fuc(a1-2)[Gal(a1-3)]Gal(b1-4)GlcNAc(b1-6)]GalNAc |
|
| 2179 | GalNAc(a1-4)[NeuAc(a2-3)]Gal(b1-3)GalNAc |
|
| 2192 | Gal(b1-3)GalNAc(a1-4)Gal(b1-3)[NeuAc(a2-6)]GalNAc |
|
| 2285 | Fuc(a1-2)[GalNAc(a1-3)]Gal(b1-4)GlcNAc(b1-6)[Fuc(a1-2)[GalNAc(a1-3)]Gal(b1-?)GlcNAc(b1-3)]Gal(b1-?)GlcNAc(b1-3)[Fuc(a1-2)[GalNAc(a1-3)]Gal(b1-4)GlcNAc(b1-6)]Gal(b1-?)GlcNAc(b1-3)Gal(b1-3)[Fuc(a1-2)[GalNAc(a1-3)]Gal(b1-4)GlcNAc(b1-6)]GalNAc |
|
| 2461 | Fuc(a1-2)[Gal(a1-3)]Gal(b1-?)GlcNAc(b1-3)[Fuc(a1-2)[Gal(a1-3)]Gal(b1-?)GlcNAc(b1-6)]Gal(b1-4)GlcNAc(b1-3)Gal(b1-3)Gal(b1-3)[NeuAc(a2-3)Gal(b1-4)GlcNAc(b1-6)]GalNAc |
|
| 2693 | Gal(a1-3)GalNAc(a1-3)[Fuc(a1-2)]Gal(b1-3)GalNAc |
|
| 3021 | NeuAc(a2-3)Gal(b1-4)[HSO3(-6)]GlcNAc(b1-6)[Fuc(a1-2)Gal(b1-3)]GalNAc |
|
| 1634 | Fuc(a1-2)Gal(b1-3)[GlcNAc(b1-3)GlcNAc(b1-6)]GalNAc |
|
| 1636 | Fuc(a1-2)Gal(b1-4)GlcNAc(b1-3)[GlcNAc(a1-4)Gal(b1-4)GlcNAc(b1-6)]Gal(b1-3)[GlcNAc(b1-6)]GalNAc |
|
| 1671 | Fuc(a1-?)Gal(b1-3)[GlcNAc(b1-6)]GalNAc |
|
| 1748 | Fuc(a1-3)GalNAc(b1-3)Gal(b1-4)Gal(b1-3)[NeuGc(a2-8)NeuGc(a2-8)NeuGc(a2-8)NeuGc(a2-6)]GalNAc |
|
| 2255 | HSO3(-6)Gal(b1-4)GlcNAc(b1-3)Gal(b1-3)[NeuAc(a2-6)]GalNAc |
|
| 2343 | Fuc(a1-2)[GalNAc(a1-3)]Gal(b1-4)GlcNAc(b1-6)[Fuc(a1-2)[GalNAc(a1-3)]Gal(b1-3)]GalNAc |
|
| 2431 | GlcA(b1-3)Gal(b1-3)GalNAc |
|
| 2443 | Gal(b1-4)GlcNAc(b1-?)Gal(b1-4)GlcNAc(b1-6)[Gal(b1-3)]GalNAc |
|
| 2579 | Fuc(a1-2)[Gal(b1-3)]Gal(b1-3)[Fuc(a1-3)[HSO3(-6)]GlcNAc(b1-6)]GalNAc |
|
| 264 | Gal(b1-4)[HSO3(-6)]GlcNAc(b1-3)Gal(b1-4)[HSO3(-6)]GlcNAc(b1-3)Gal(b1-4)[HSO3(-6)]GlcNAc(b1-3)Gal(b1-4)GlcNAc(b1-3)Gal(b1-3)GalNAc |
|
| 2731 | NeuAc(a2-3)Gal(b1-4)[HSO3(-6)]GlcNAc(b1-3)Gal(b1-4)[HSO3(-6)]GlcNAc(b1-3)Gal(b1-4)[HSO3(-6)]GlcNAc(b1-3)Gal(b1-3)GalNAc |
|
| 2960 | Fuc(a1-2)Gal(b1-3)GalNAc(b1-4)GlcNAc(b1-2)Man(a1-3)[Fuc(a1-2)Gal(b1-3)GalNAc(b1-4)GlcNAc(b1-2)Man(a1-6)][Xyl(b1-2)]Man(b1-4)GlcNAc(b1-4)GlcNAc |
|
| 2979 | Fuc(a1-2)Gal(b1-?)[HSO3(-?)]GlcNAc(b1-6)Gal(b1-3)GalNAc |
|
| 2992 | GalNAc(b1-4)[NeuGc(a2-3)]Gal(b1-4)GlcNAc(b1-6)[HexNAc(b1-?)Gal(b1-3)]GalNAc |
|
| 3079 | Fuc(a1-2)Gal(b1-?)[Fuc(a1-?)]GlcNAc(b1-3)Gal(b1-3)GalNAc |
|
| 3306 | Me(-3)Gal(b1-3)GalNAc(b1-4)GlcNAc(b1-2)Man(a1-3)[Man(a1-6)][Xyl(b1-2)]Man(b1-4)GlcNAc(b1-4)GlcNAc |
|
| 353 | Fuc(a1-2)[GalNAc(a1-3)]Gal(b1-4)GlcNAc(b1-3)GlcNAc(b1-6)[Fuc(a1-2)[GalNAc(a1-3)]Gal(b1-3)]GalNAc |
|
| 3575 | Glc(b1-6)Gal(b1-3)[Glc(b1-4)][Glc(b1-6)]GalNAc |
|
| 3586 | Fuc(a1-2)[Gal(a1-3)]Gal(b1-4)GlcNAc(b1-6)[Fuc(a1-2)Gal(b1-3)]GalNAc |
|
| 3598 | Gal(a1-3)Gal(a1-4)Gal(b1-4)GlcNAc(b1-6)[Gal(a1-3)Gal(a1-4)Gal(b1-3)]Gal(b1-3)[Fuc(a1-2)Gal(a1-3)Gal(a1-4)Gal(b1-4)GlcNAc(b1-6)]GalNAc+"+ Fuc(a1-2)" |
|
| 3674 | Fuc(a1-2)Gal(b1-4)GlcNAc(b1-6)[GlcNAc(a1-4)Gal(b1-4)GlcNAc(b1-3)]Gal(b1-3)[Fuc(a1-2)Gal(b1-4)GlcNAc(b1-6)]GalNAc |
|
| 38 | NeuAc(a2-3)Gal(b1-4)GlcNAc(b1-6)[Gal(b1-3)]GalNAc(a1-3)GalNAc |
|
| 477 | Fuc(a1-2)Gal(b1-3)GlcNAc(b1-6)[Fuc(a1-2)Gal(b1-3)]GalNAc |
|
| 585 | Fuc(a1-3)GlcNAc(a1-3)GalNAc(a1-3)[Fuc(a1-2)]Gal(b1-3)[HSO3(-3)Gal(b1-4)[HSO3(-6)]GlcNAc(b1-6)]GalNAc |
|
| 761 | Fuc(?1-?)Gal(b1-3)GalNAc |
|
| 919 | GalNAc(b1-4)[NeuAc(a2-3)]GalNAc(b1-3)Gal(b1-4)Gal(b1-3)[NeuGc(a2-6)]GalNAc |
|
| 993 | Gal(a1-3)GalNAc(a1-3)[Fuc(a1-2)]Gal(b1-3)[NeuAc(a2-6)]GalNAc |
|
| 1120 | NeuAc(a2-6)Gal(b1-4)[Fuc(a1-3)]GlcNAc(b1-?)Gal(b1-4)GlcNAc(b1-6)[NeuAc(a2-3)Gal(b1-3)]GalNAc |
|
| 1440 | Fuc(a1-?)[Gal(b1-?)]GlcNAc(b1-6)[Fuc(a1-2)Gal(b1-3)]GalNAc |
|
| 1459 | NeuGc(a2-8)NeuGc(a2-8)NeuGc(a2-8)NeuGc(a2-6)[Gal(b1-3)]GalNAc |
|
| 1547 | Gal(b1-3)[NeuGc(a2-6)]GalNAc |
|
| 2096 | GalNAc(b1-4)[NeuGc(a2-3)]GalNAc(b1-3)Gal(b1-4)Gal(b1-3)GalNAc |
|
| 2147 | HSO3(-?)GlcNAc(b1-6)[NeuAc(a2-3)Gal(b1-3)]GalNAc |
|
| 2200 | GlcA(b1-3)Gal(b1-3)[GlcNAc(b1-6)]GalNAc |
|
| 2323 | Fuc(a1-2)[GalNAc(a1-3)]Gal(b1-3)GlcNAc(b1-3)Gal(b1-3)[Gal(b1-4)GlcNAc(b1-6)]GalNAc |
|
| 2411 | Gal(a1-3)GalNAc(a1-3)[Fuc(a1-2)]Gal(b1-3)[GlcNAc(b1-6)]GalNAc |
|
| 250 | Fuc(a1-2)Gal(b1-4)[HSO3(-3)GlcA(b1-3)]Gal(b1-4)[Fuc(a1-2)]Gal(b1-3)GalNAc |
|
| 2612 | NeuAc(a2-3)Gal(b1-4)[Fuc(a1-3)][HSO3(-6)]GlcNAc(b1-3)Gal(b1-3)GalNAc |
|
| 2624 | NeuAc(a2-3)Gal(b1-4)[HSO3(-6)]GlcNAc(b1-3)Gal(b1-4)[HSO3(-6)]GlcNAc(b1-3)Gal(b1-4)[HSO3(-6)]GlcNAc(b1-3)Gal(b1-4)[HSO3(-6)]GlcNAc(b1-3)Gal(b1-4)GlcNAc(b1-3)Gal(b1-3)GalNAc |
|
| 2788 | GalNAc(b1-4)GalNAc(b1-3)Gal(b1-4)Gal(b1-3)GalNAc |
|
| 2861 | Glc(b1-6)[GlcA(b1-3)]Gal(b1-3)[Glc(b1-6)]GalNAc |
|
| 3027 | Gal(b1-4)GlcNAc(b1-3)Gal(b1-3)[NeuAc(a2-6)]GalNAc |
|
| 3031 | Gal(b1-?)GlcNAc(b1-?)Gal(b1-4)[Fuc(a1-3)]GlcNAc(b1-6)[NeuAc(a2-3)Gal(b1-3)]GalNAc |
|
| 3055 | Gal(b1-4)GlcNAc(b1-6)[HexNAc(b1-?)Gal(b1-3)]GalNAc |
|
| 3131 | Gal(b1-4)GlcNAc(b1-6)[Gal(b1-3)]GalNAc+"+ NeuAc(a2-?)" |
|
| 3155 | Fuc(a1-4)GlcNAc(b1-3)Gal(b1-3)[Fuc(a1-4)GlcNAc(b1-6)]GalNAc |
|
| 3231 | GlcA(b1-3)Gal(b1-3)[Fuc(a1-2)][Gal(b1-4)]Gal(b1-3)[GlcNAc(b1-6)]GalNAc |
|
| 3240 | Fuc(a1-2)Gal(b1-4)[HSO3(-6)]GlcNAc(b1-6)[NeuAc(a2-3)Gal(b1-3)]GalNAc |
|
| 3385 | Fuc(a1-2)Gal(b1-4)GlcNAc(b1-6)[NeuAc(a2-3)Gal(b1-3)]GalNAc |
|
| 3524 | Fuc(a1-2)[GalNAc(a1-3)]Gal(b1-3)[Gal(b1-4)GlcNAc(b1-6)]GalNAc |
|
| 3543 | GlcNAc(b1-3)Gal(b1-3)GalNAc |
|
| 3555 | Fuc(a1-2)Gal(b1-3)[Fuc(a1-2)]Gal(b1-3)[Fuc(a1-3)GlcNAc(b1-6)]GalNAc |
|
| 358 | Gal(b1-4)GlcNAc(b1-3)Gal(b1-3)[Gal(b1-4)GlcNAc(b1-6)]GalNAc |
|
| 383 | GlcA(b1-3)Gal(b1-3)[Gal(b1-6)]GalNAc |
|
| 408 | Fuc(a1-2)[GalNAc(a1-3)]Gal(b1-4)GlcNAc(b1-6)[Fuc(a1-2)Gal(b1-?)GlcNAc(b1-3)]Gal(b1-?)GlcNAc(b1-3)Gal(b1-3)[Fuc(a1-2)[GalNAc(a1-3)]Gal(b1-4)GlcNAc(b1-6)]GalNAc |
|
| 621 | NeuGc(a2-3)Gal(b1-4)[HSO3(-6)]GlcNAc(b1-3)Gal(b1-4)[HSO3(-6)]GlcNAc(b1-3)Gal(b1-4)GlcNAc(b1-3)Gal(b1-4)GlcNAc(b1-3)Gal(b1-3)GalNAc |
|
| 695 | NeuAc(a2-6)Gal(b1-4)GlcNAc(b1-?)Gal(b1-4)GlcNAc(b1-?)Gal(b1-4)GlcNAc(b1-6)[Gal(b1-3)]GalNAc |
|
| 1472 | Fuc(a1-3)GalNAc(b1-3)Gal(b1-4)Gal(b1-3)GalNAc |
|
| 1481 | GlcNAc(b1-4)GlcA(b1-3)Gal(b1-3)GalNAc |
|
| 1532 | Gal(b1-3)GalNAc+"+ 2 x NeuAc" |
|
| 1620 | HSO3(-6)Gal(b1-4)GlcNAc(b1-3)Gal(b1-3)GalNAc |
|
| 163 | Gal(b1-3)GlcNAc(b1-3)Gal(b1-4)[Fuc(a1-3)]GlcNAc(b1-6)[NeuAc(a2-3)Gal(b1-3)]GalNAc |
|
| 1660 | GlcNAc(a1-4)Gal(b1-3)GalNAc |
|
| 1677 | GlcNAc(?1-3)Gal(b1-?)GlcNAc(b1-6)[NeuAc(a2-3)Gal(b1-3)]GalNAc |
|
| 1890 | HSO3(-3)Gal(b1-3)[Fuc(a1-2)]Gal(b1-3)GalNAc |
|
| 2166 | Fuc(a1-2)Gal(b1-3)GlcNAc(b1-3)Gal(b1-3)GalNAc |
|
| 3282 | Fuc(a1-2)Gal(b1-?)[Fuc(a1-?)]GlcNAc(b1-6)[Gal(b1-3)]GalNAc |
|
| 3333 | Gal(b1-4)Gal(b1-3)GalNAc |
|
| 3616 | Fuc(a1-2)Gal(b1-4)[HSO3(-6)]GlcNAc(b1-6)[Gal(b1-3)]GalNAc |
|
| 3653 | NeuAc(a2-3)Gal(b1-4)[Fuc(a1-3)]GlcNAc(b1-3)Gal(b1-3)[NeuAc(a2-6)]GalNAc |
|
| 3011 | NeuAc(a2-3)Gal(b1-4)[HSO3(-6)]GlcNAc(b1-3)Gal(b1-4)[HSO3(-6)]GlcNAc(b1-3)Gal(b1-4)GlcNAc(b1-3)Gal(b1-4)GlcNAc(b1-3)Gal(b1-3)GalNAc |
|
| 3388 | Fuc(a1-2)[GalNAc(a1-3)]Gal(b1-4)GlcNAc(b1-6)[Gal(b1-3)]GalNAc |
|
| 3564 | Gal(b1-3)[NeuGc(a2-8)NeuAc(a2-6)]GalNAc |
|
| 3615 | GalNAc(b1-?)GlcNAc(b1-3)Gal(b1-3)GalNAc |
|
| 388 | Fuc(a1-2)Gal(b1-3)GlcNAc(b1-3)[GlcNAc(b1-6)]Gal(b1-4)GlcNAc(b1-3)[NeuAc(a2-6)]Gal(b1-3)[Fuc(a1-2)Gal(b1-4)GlcNAc(b1-6)]GalNAc |
|
| 894 | HSO3(-3)Gal(b1-4)[Fuc(a1-2)][Gal(b1-3)]Gal(b1-3)GalNAc |
|
| 1039 | Glc(b1-6)[GlcA(b1-3)]Gal(b1-3)GalNAc |
|
| 1127 | Fuc(a1-4)[Fuc(a1-5)]Kdn(a2-3)Gal(b1-3)[Fuc(a1-2)Gal(b1-4)GlcNAc(b1-6)]GalNAc |
|
| 1340 | NeuAc(?2-?)Gal(b1-3)GalNAc |
|
| 140 | Fuc(a1-3)[Gal(b1-4)]GlcNAc(b1-3)GlcNAc(b1-6)[Fuc(a1-2)Gal(b1-3)]GalNAc |
|
| 1477 | HSO3(-3)Gal(b1-3)[Fuc(a1-2)][GlcNAc(b1-6)]Gal(b1-3)GalNAc |
|
| 18 | Gal(b1-3)[NeuAc(a2-8)NeuAc(a2-6)]GalNAc |
|
| 1856 | Fuc(a1-2)GlcA(b1-3)Gal(b1-3)[Fuc(a1-2)]Gal(b1-3)GalNAc |
|
| 1893 | Gal(b1-4)GlcNAc(b1-6)[Gal(b1-3)]GalNAc+"+ Fuc(a1-2) + NeuAc(a2-?)" |
|
| 1981 | Me(-2)Fuc(a1-2)[Me(-4)]Gal(b1-3)GalNAc |
|
| 2172 | Fuc(a1-4)[Fuc(a1-5)]Kdn(a2-3)Gal(b1-3)GalNAc |
|
| 2220 | NeuGc(a2-8)NeuGc(a2-8)NeuGc(a2-8)NeuGc(a2-8)NeuGc(a2-6)[Fuc(a1-3)GalNAc(b1-3)Gal(b1-4)Gal(b1-3)]GalNAc |
|
| 2328 | Fuc(a1-4)[GlcNAc(b1-3)]GlcNAc(b1-6)[Gal(b1-3)]GalNAc |
|
| 206 | GlcA(b1-3)Gal(b1-3)[Fuc(a1-2)]Gal(b1-3)[Fuc(a1-3)[HSO3(-6)]GlcNAc(b1-6)]GalNAc |
|
| 2122 | Gal(b1-3)GalNAc(a1-4)Gal(b1-4)[GlcA(b1-3)Gal(b1-3)][Fuc(a1-2)]Gal(b1-3)[HSO3(-6)GlcNAc(b1-6)]GalNAc |
|
| 2346 | Fuc(a1-2)[GalNAc(a1-3)]Gal(b1-3)[Fuc(a1-2)][GlcNAc(b1-6)]Gal(b1-3)[NeuGc(a2-6)]GalNAc |
|
| 243 | Neu5,9Ac2(a2-3)Gal(b1-3)[Neu5,9Ac2(a2-6)]GalNAc |
|
| 2446 | Fuc(a1-2)[Gal(a1-4)]Gal(b1-3)GalNAc |
|
| 2499 | NeuGc(a2-8)NeuGc(a2-8)NeuGc(a2-6)[Gal(b1-3)]GalNAc |
|
| 3058 | Fuc(a1-3)GlcNAc(a1-3)GalNAc(a1-3)[Fuc(a1-2)]Gal(b1-3)[HSO3(-3)Gal(b1-4)[Fuc(a1-3)][HSO3(-6)]GlcNAc(b1-6)]GalNAc |
|
| 3146 | Fuc(a1-3)[Gal(b1-4)]GlcNAc(b1-6)[Gal(b1-3)]GalNAc+"+Fuc(a1-2)" |
|
| 3410 | GalNAc(b1-4)GlcNAc(b1-6)[Gal(b1-3)]GalNAc |
|
| 514 | NeuGc(a2-3)Gal(b1-4)[HSO3(-6)]GlcNAc(b1-3)Gal(b1-4)[HSO3(-6)]GlcNAc(b1-3)Gal(b1-4)[HSO3(-6)]GlcNAc(b1-3)Gal(b1-4)[HSO3(-6)]GlcNAc(b1-3)Gal(b1-4)GlcNAc(b1-3)Gal(b1-3)GalNAc |
|
| 101 | Gal(a1-3)Gal(b1-4)GlcNAc(b1-6)[Gal(b1-3)]GalNAc |
|
| 1207 | Fuc(a1-4)[Fuc(a1-5)]Kdn(a2-3)Gal(b1-3)[Fuc(a1-3)[Gal(b1-4)]GlcNAc(b1-6)]GalNAc |
|
| 1281 | Gal(b1-4)GlcNAc(b1-3)Gal(b1-4)[Fuc(a1-3)]GlcNAc(b1-6)[NeuAc(a2-3)Gal(b1-3)]GalNAc |
|
| 1370 | HSO3(-?)[NeuAc(a2-?)]GlcNAc(b1-6)[NeuAc(a2-3)Gal(b1-3)]GalNAc |
|
| 1420 | Gal(b1-3)GlcNAc(b1-3)[GlcNAc(b1-6)]Gal(b1-3)GalNAc |
|
| 1569 | Fuc(a1-4)[Fuc(a1-5)]Kdn(a2-3)Gal(b1-3)[Fuc(a1-2)[GalNAc(a1-3)]Gal(b1-4)GlcNAc(b1-6)]GalNAc |
|
| 2393 | Kdn(a2-3)Gal(b1-3)[Gal(b1-4)GlcNAc(b1-3)[Fuc(a1-4)]GlcNAc(b1-6)]GalNAc |
|
| 46 | NeuGc(a2-3)[Gal(b1-4)]Gal(b1-3)[GlcNAc(b1-3)[Fuc(a1-4)]GlcNAc(b1-6)]GalNAc |
|
| 478 | GlcNAc(a1-4)Gal(b1-4)GlcNAc(b1-3)[Fuc(a1-4)]GlcNAc(b1-6)[GlcNAc(a1-4)Gal(b1-3)]GalNAc |
|
| 568 | GlcA(b1-3)Gal(b1-3)[GlcNAc(b1-3)GlcNAc(b1-6)]GalNAc |
|
| 2841 | NeuAc(a2-6)Gal(b1-4)GlcNAc(b1-?)Gal(b1-4)GlcNAc(b1-6)[NeuAc(a2-3)Gal(b1-3)]GalNAc |
|
| 2853 | GlcA(b1-3)Gal(b1-3)[Fuc(a1-2)]Gal(b1-3)GalNAc |
|
| 287 | Gal(a1-3)Gal(b1-6)[Gal(b1-3)]GalNAc |
|
| 2993 | NeuAc(a2-3)Gal(b1-4)[HSO3(-6)]GlcNAc(b1-3)Gal(b1-4)GlcNAc(b1-3)Gal(b1-3)GalNAc |
|
| 3047 | Fuc(a1-2)Gal(b1-4)[Fuc(a1-2)]Gal(b1-3)GalNAc |
|
| 3059 | NeuAc(a2-?)Gal(b1-3)[NeuAc(a2-6)]GalNAc |
|
| 3135 | Gal(b1-2)Gal(a1-3)[Fuc(a1-2)]Gal(b1-3)GalNAc |
|
| 3515 | HSO3(-3)Gal(b1-3)[Kdn(a2-6)]GalNAc |
|
| 3552 | Fuc(a1-3)GlcNAc(b1-6)[Gal(b1-3)]Gal(b1-3)[Fuc(a1-3)[Gal(b1-4)]GlcNAc(b1-6)]GalNAc |
|
| 375 | NeuAc(a2-3)Gal(b1-4)GlcNAc(b1-6)[Fuc(a1-2)Gal(b1-3)]GalNAc |
|
| 1140 | Fuc(a1-2)[Gal(b1-3)]Gal(b1-3)[HSO3(-6)GlcNAc(b1-6)]GalNAc |
|
| 59 | NeuAc(a2-3)Gal(b1-4)[HSO3(-6)]GlcNAc(b1-3)Gal(b1-4)[HSO3(-6)]GlcNAc(b1-3)Gal(b1-4)GlcNAc(b1-3)Gal(b1-3)GalNAc |
|
| 645 | Fuc(a1-3)[HSO3(-6)]GlcNAc(b1-6)[Gal(b1-3)]GalNAc |
|
| 718 | GlcNAc(a1-4)Gal(b1-4)GlcNAc(b1-6)[Fuc(a1-2)Gal(b1-3)]GalNAc |
|
| 931 | NeuAc(a2-3)Gal(b1-4)GlcNAc(b1-3)Gal(b1-4)GlcNAc(b1-6)[NeuAc(a2-3)Gal(b1-3)]GalNAc |
|
| 96 | Fuc(a1-2)Gal(b1-4)[Fuc(a1-3)]GlcNAc(b1-6)[NeuAc(a2-3)Gal(b1-3)]GalNAc |
|
| 1113 | Fuc(a1-2)Gal(b1-3)[GlcNAc(b1-6)]GalNAc |
|
| 1202 | Fuc(a1-2)[GalNAc(a1-3)]Gal(b1-3)[GlcNAc(b1-3)GlcNAc(b1-6)]GalNAc |
|
| 1434 | NeuAc(a2-3)Gal(b1-4)GlcNAc(b1-3)Gal(b1-4)GlcNAc(b1-3)Gal(b1-4)GlcNAc(b1-6)[NeuAc(a2-3)Gal(b1-3)]GalNAc |
|
| 1615 | Me(-3)Gal(b1-6)[Me(-3)]Gal(b1-6)[Me(-3)]Gal(b1-3)[Me(-3)Gal(b1-6)]GalNAc(b1-4)GlcNAc(b1-2)Man(a1-6)[Man(a1-3)][Xyl(b1-2)]Man(b1-4)GlcNAc(b1-4)[Fuc(a1-6)]GlcNAc |
|
| 648 | Fuc(a1-3)[Gal(b1-4)]GlcNAc(b1-6)[Fuc(a1-4)[Gal(b1-3)]GlcNAc(b1-3)]Gal(b1-3)GlcNAc(b1-3)Gal(b1-3)GalNAc |
|
| 773 | HSO3(-6)Gal(b1-3)[NeuAc(a2-6)]GalNAc |
|
| 1501 | Fuc(a1-3)GlcNAc(b1-6)[GalNAc(b1-3)Gal(b1-3)]GalNAc |
|
| 39 | HexNAc(b1-?)Gal(b1-3)GalNAc |
|
| 7 | Fuc(a1-2)[Gal(a1-4)]Gal(b1-3)[Fuc(a1-3)GlcNAc(b1-6)]GalNAc |
|
| 861 | Gal(b1-4)GlcNAc(b1-?)Gal(b1-3)[Gal(b1-4)GlcNAc(b1-6)]GalNAc |
|
| 3057 | Fuc(a1-3)[HSO3(-6)]GlcNAc(b1-6)[Fuc(a1-2)Gal(b1-3)]GalNAc |
|
| 3089 | GlcNAc(a1-4)Gal(b1-3)[GlcNAc(b1-6)]GalNAc |
|
| 3108 | NeuGc(a2-3)Gal(b1-3)GalNAc |
|
| 3211 | Fuc(a1-2)[GalNAc(a1-3)]Gal(b1-4)GlcNAc(b1-3)[Fuc(a1-2)[GalNAc(a1-3)]Gal(b1-4)GlcNAc(b1-6)]Gal(b1-4)GlcNAc(b1-3)Gal(b1-3)[Fuc(a1-2)Gal(b1-4)GlcNAc(b1-6)]GalNAc |
|
| 3270 | NeuAc(a2-3)Gal(b1-4)[Fuc(a1-3)][HSO3(-6)]GlcNAc(b1-6)[NeuAc(a2-3)Gal(b1-3)]GalNAc |
|
| 3289 | Fuc(a1-2)Gal(b1-4)GlcNAc(b1-6)[GlcNAc(a1-4)Gal(b1-4)GlcNAc(b1-3)]Gal(b1-3)[GlcNAc(b1-6)]GalNAc |
|
| 3641 | NeuAc(a2-6)Gal(b1-3)[GlcNAc(b1-6)]GalNAc |
|
| 702 | Fuc(a1-?)Gal(b1-4)GlcNAc(b1-6)[Fuc(a1-2)[GalNAc(a1-3)]Gal(b1-3)]GalNAc |
|
| 875 | GalNAc(a1-4)Gal(b1-4)[GlcA(b1-3)Gal(b1-3)][Fuc(a1-2)]Gal(b1-3)[HSO3(-6)GlcNAc(b1-6)]GalNAc |
|
| 1015 | NeuAc(a2-3)Gal(b1-3)[NeuGc(a2-6)]GalNAc |
|
| 118 | NeuAc(a2-3)Gal(b1-4)[Fuc(a1-3)]GlcNAc(b1-3)Gal(b1-4)GlcNAc(b1-6)[NeuAc(a2-3)Gal(b1-3)]GalNAc |
|
| 1327 | NeuAc(a2-3)[GalNAc(b1-4)Gal(b1-4)]GlcNAc(b1-6)[Fuc(a1-2)Gal(b1-3)]GalNAc |
|
| 1427 | Fuc(a1-4)[GlcNAc(b1-3)]GlcNAc(b1-6)[NeuAc(a2-3)Gal(b1-3)]GalNAc |
|
| 790 | GlcA(b1-3)Gal(b1-3)GalNAc(a1-4)[GlcA(b1-3)Gal(b1-3)][Fuc(a1-2)]Gal(b1-3)GalNAc |
|
| 93 | Gal(b1-3)Gal(b1-3)[GlcNAc(b1-6)]GalNAc |
|
| 941 | GalNAc(b1-4)[NeuAc(a2-3)]Gal(b1-3)[NeuAc(a2-6)]GalNAc |
|
| 1105 | NeuAc(?2-6)Gal(b1-3)[NeuAc(a2-6)]GalNAc |
|
| 1429 | NeuAc(a2-3)Gal(b1-4)GlcNAc(b1-3)Gal(b1-3)GalNAc |
|
| 1791 | Fuc(a1-2)Gal(b1-3)GalNAc(b1-4)GlcNAc(b1-2)Man(a1-6)[Me(-3)Man(a1-3)][Xyl(b1-2)]Man(b1-4)GlcNAc(b1-4)GlcNAc |
|
| 1792 | Me(-3)Gal(b1-6)[Me(-3)]Gal(b1-3)[Me(-3)Gal(b1-6)]GalNAc(b1-4)GlcNAc(b1-2)Man(a1-6)[Me(-3)Gal(b1-6)[Me(-4)Gal(b1-3)]GalNAc(b1-4)GlcNAc(b1-2)Man(a1-3)][Xyl(b1-2)]Man(b1-4)GlcNAc(b1-4)[Fuc(a1-6)]GlcNAc |
|
| 1902 | GalNAc(b1-4)[NeuAc(a2-3)]Gal(b1-4)GlcNAc(b1-6)[HexNAc(b1-?)Gal(b1-3)]GalNAc |
|
| 1942 | NeuAc(a2-3)Gal(b1-?)GlcNAc(b1-6)[Gal(b1-3)]GalNAc |
|
| 2322 | Fuc(a1-2)[Gal(a1-3)]Gal(b1-?)GlcNAc(b1-3)Gal(b1-3)[NeuAc(a2-6)]GalNAc |
|
| 692 | Gal(b1-3)GlcNAc(b1-3)Gal(b1-3)[Gal(b1-4)GlcNAc(b1-6)]GalNAc |
|
| 72 | Fuc(a1-2)Gal(b1-?)GlcNAc(b1-3)[Fuc(a1-2)Gal(b1-?)GlcNAc(b1-6)]Gal(b1-3)[GlcNAc(b1-6)]GalNAc |
|
| 743 | HSO3(-3)Gal(b1-4)GlcNAc(b1-6)[Gal(b1-3)]GalNAc |
|
| 1102 | GalNAc(b1-4)[NeuAc(a2-3)]Gal(b1-4)GlcNAc(b1-6)[Gal(b1-3)]GalNAc |
|
| 1692 | Fuc(a1-4)[GlcNAc(b1-3)]GlcNAc(b1-6)[Kdn(a2-3)Gal(b1-3)]GalNAc |
|
| 1745 | Fuc(a1-2)[GalNAc(a1-3)]Gal(b1-3)GalNAc |
|
| 1799 | Fuc(a1-3)[Gal(b1-4)]GlcNAc(b1-3)Gal(b1-3)GalNAc |
|
| 1821 | Fuc(a1-2)Gal(b1-3)[Gal(b1-4)GlcNAc(b1-6)][Fuc(a1-2)]Gal(b1-3)[HSO3(-6)GlcNAc(b1-6)]GalNAc |
|
| 1833 | Fuc(a1-2)Gal(b1-?)[Fuc(a1-?)]GlcNAc(b1-?)[Fuc(a1-2)Gal(b1-?)GlcNAc(b1-?)]Gal(b1-?)GlcNAc(b1-3)Gal(b1-3)[Gal(b1-6)]GalNAc |
|
| 2038 | Gal(a1-3)GalNAc(a1-3)[Fuc(a1-2)]Gal(b1-3)[Fuc(a1-2)][GlcNAc(b1-6)]Gal(b1-3)[NeuGc(a2-6)]GalNAc |
|
| 2252 | HSO3(-?)GlcNAc(b1-6)Gal(b1-3)GalNAc |
|
| 2564 | GalNAc(a1-4)Gal(b1-3)GalNAc |
|
| 2576 | HSO3(-3)Gal(b1-4)[Fuc(a1-3)]GlcNAc(b1-6)[NeuAc(a2-3)Gal(b1-3)]GalNAc |
|
| 2752 | Fuc(a1-4)GlcNAc(b1-6)[Gal(b1-3)]GalNAc |
|
| 285 | Fuc(a1-2)Gal(b1-3)[GlcNAc(b1-4)Gal(b1-4)GlcNAc(b1-6)]GalNAc |
|
| 1502 | Gal(b1-4)[HSO3(-6)]GlcNAc(b1-6)[Fuc(a1-2)Gal(b1-3)]GalNAc |
|
| 1550 | Fuc(a1-2)[GalNAc(a1-3)]Gal(b1-?)GlcNAc(b1-3)Gal(b1-3)[Fuc(a1-2)Gal(b1-4)GlcNAc(b1-6)]GalNAc |
|
| 1838 | NeuGc(?2-6)Gal(b1-3)GalNAc |
|
| 2487 | Fuc(a1-2)Gal(a1-3)Gal(a1-4)Gal(b1-3)[Fuc(a1-2)]Gal(b1-3)[Fuc(a1-2)Gal(a1-3)Gal(a1-4)Gal(b1-4)GlcNAc(b1-6)]GalNAc |
|
| 2714 | Me(-2)Fuc(a1-2)Gal(b1-3)GalNAc |
|
| 2970 | Fuc(a1-2)Gal(b1-4)GlcNAc(b1-3)Gal(b1-3)[Fuc(a1-2)Gal(b1-4)GlcNAc(b1-6)]GalNAc |
|
| 1181 | Fuc(a1-2)Gal(b1-3)[NeuGc(a2-6)]GalNAc |
|
| 2168 | Gal(a1-3)GalNAc(a1-3)[Fuc(a1-2)]Gal(b1-4)GlcNAc(b1-6)[Gal(a1-3)GalNAc(a1-3)[Fuc(a1-2)]Gal(b1-3)][Fuc(a1-2)]Gal(b1-3)GalNAc |
|
| 3227 | Fuc(a1-3)GalNAc(b1-6)[Gal(b1-3)]Gal(b1-3)[GlcNAc(b1-6)]GalNAc |
|
| 1019 | Fuc(a1-2)Gal(b1-3)GalNAc |
|
| 131 | Gal(b1-3)GlcNAc(b1-3)[Gal(b1-4)GlcNAc(b1-6)]Gal(b1-3)[Gal(b1-4)GlcNAc(b1-6)]GalNAc |
|
| 1451 | NeuGc(a2-8)NeuGc(a2-8)NeuGc(a2-8)NeuGc(a2-6)[Gal(b1-4)Gal(b1-3)]GalNAc |
|
| 238 | Me(-3)Gal(b1-6)[Me(-3)]Gal(b1-3)[Me(-3)Gal(b1-6)[Me(-3)]Gal(b1-6)]GalNAc(b1-4)GlcNAc(b1-2)Man(a1-3)[Man(a1-6)][Xyl(b1-2)]Man(b1-4)GlcNAc(b1-4)GlcNAc |
|
| 2382 | GlcNAc(a1-3)GalNAc(a1-3)[Fuc(a1-2)]Gal(b1-4)[HSO3(-6)]GlcNAc(b1-6)[GlcNAc(a1-3)GalNAc(a1-3)[Fuc(a1-2)]Gal(b1-3)]GalNAc |
|
| 2703 | NeuGc(a2-8)NeuGc(a2-8)NeuGc(a2-6)[Gal(b1-4)Gal(b1-3)]GalNAc |
|
| 2769 | Fuc(a1-2)[Gal(b1-3)]Gal(b1-3)[NeuAc(a2-6)]GalNAc |
|
| 2894 | GlcNAc(a1-3)GalNAc(a1-3)[Fuc(a1-2)]Gal(b1-3)[HSO3(-3)Gal(b1-4)[HSO3(-6)]GlcNAc(b1-6)]GalNAc |
|
| 2908 | Fuc(a1-2)Gal(b1-3)[Fuc(a1-2)][GlcNAc(b1-6)]Gal(b1-3)[NeuAc(a2-6)]GalNAc |
|
| 2945 | Fuc(a1-2)Gal(b1-3)[HSO3(-3)Gal(b1-4)][Fuc(a1-2)]Gal(b1-3)GalNAc |
|
| 2982 | Fuc(a1-2)Gal(b1-3)GlcNAc(b1-3)[Fuc(a1-2)]Gal(b1-3)[Fuc(a1-2)Gal(b1-4)GlcNAc(b1-6)]GalNAc |
|
| 3082 | - |
|
| 3088 | Fuc(a1-2)Gal(b1-4)GlcNAc(b1-6)[Fuc(a1-2)Gal(b1-4)GlcNAc(b1-3)]Gal(b1-3)[Fuc(a1-2)Gal(b1-4)GlcNAc(b1-6)]GalNAc |
|
| 3133 | Gal(b1-3)GlcNAc(b1-3)Gal(b1-3)GalNAc |
|
| 325 | HexNAc(b1-3/4)Gal(b1-3)[GalNAc(b1-4)GlcNAc(b1-6)]GalNAc |
|
| 3310 | Fuc(a1-3)GlcNAc(b1-6)[GalNAc(b1-3)Gal(b1-3)]Gal(b1-3)[GlcNAc(b1-6)]GalNAc |
|
| 649 | Fuc(a1-2)[Fuc(a1-3)]Fuc(a1-4)Kdn(a2-3)Gal(b1-3)[Fuc(a1-3)[Gal(b1-4)]GlcNAc(b1-6)]GalNAc |
|
| 950 | GalNAc(b1-4)[NeuAc(a2-3)]Gal(b1-4)GlcNAc(b1-6)[Fuc(a1-2)[GalNAc(a1-3)]Gal(b1-3)]GalNAc |
|
| 1093 | Fuc(a1-2)Gal(b1-3)[HSO3(-6)GlcNAc(b1-6)]GalNAc |
|
| 1374 | Fuc(a1-2)Gal(b1-?)[HSO3(-?)]GlcNAc(b1-6)[Fuc(a1-2)]Gal(b1-3)GalNAc |
|
| 1846 | Gal(b1-3)[Kdn(a2-6)]GalNAc |
|
| 1899 | Fuc(a1-2)Gal(b1-4)[Fuc(a1-3)]GlcNAc(b1-6)[Gal(b1-3)]GalNAc |
|
| 2087 | Gal(b1-3)GalNAc+"+ NeuAc" |
|
| 2253 | GalNAc(b1-3)Gal(b1-4)Gal(b1-3)GalNAc |
|
| 2353 | Gal(b1-2)Gal(a1-3)[Fuc(a1-2)]Gal(b1-3)[Fuc(a1-3)[HSO3(-6)]GlcNAc(b1-6)]GalNAc |
|
| 2577 | Gal(b1-3)Gal(b1-4)GlcNAc(b1-6)[Gal(b1-3)]GalNAc |
|
| 2677 | Fuc(a1-2)Gal(a1-3)Gal(a1-4)Gal(b1-4)GlcNAc(b1-6)[Fuc(a1-2)Gal(a1-3)Gal(a1-4)Gal(b1-3)]Gal(b1-3)GalNAc |
|
| 3172 | GalNAc(a1-4)Gal(b1-4)[GlcA(b1-3)Gal(b1-3)][Fuc(a1-2)]Gal(b1-3)[Fuc(a1-3)[HSO3(-6)]GlcNAc(b1-6)]GalNAc |
|
| 3287 | GlcNAc(a1-3)GalNAc(a1-3)[Fuc(a1-2)]Gal(b1-3)[HSO3(-6)GlcNAc(b1-6)]GalNAc |
|
| 3551 | Gal(b1-?)GlcNAc(?1-?)[Gal(b1-?)GlcNAc(?1-?)]Gal(b1-?)GlcNAc(b1-6)[NeuAc(a2-3)Gal(b1-3)]GalNAc |
|
| 36 | Gal(b1-4)Gal(b1-3)[NeuGc(a2-8)NeuGc(a2-6)]GalNAc |
|
| 3605 | Gal(b1-3)GalNAc+"+ Fuc + NeuAc" |
|
| 524 | Fuc(a1-2)Gal(b1-3)[Gal(b1-4)GlcNAc(b1-6)]GalNAc |
|
| 719 | Fuc(a1-4)[Gal(b1-3)]GlcNAc(b1-3)Gal(b1-4)GlcNAc(b1-6)[Fuc(a1-4)[Gal(b1-3)]GlcNAc(b1-3)Gal(b1-3)]GalNAc |
|
| 808 | Fuc(a1-2)Gal(b1-?)GlcNAc(b1-?)[Fuc(a1-2)[GalNAc(a1-3)]Gal(b1-?)GlcNAc(b1-?)]Gal(b1-3)[Gal(b1-4)GlcNAc(b1-6)]GalNAc |
|
| 833 | HSO3(-3)Gal(b1-4)GlcNAc(b1-6)[Fuc(a1-2)Gal(b1-3)]GalNAc |
|
| 881 | Fuc(a1-2)Gal(a1-3)Gal(a1-4)Gal(b1-4)GlcNAc(b1-6)[Fuc(a1-2)Gal(a1-3)Gal(a1-4)Gal(b1-3)]GalNAc |
|
| 932 | NeuAc(a2-3)Gal(b1-3)[GlcNAc(b1-6)]GalNAc |
|
| 1115 | Glc(b1-4)[Glc(b1-6)][GlcA(b1-3)]Gal(b1-3)[Glc(b1-6)]GalNAc |
|
| 1209 | GalNAc(a1-3)Gal(b1-3)GalNAc |
|
| 2088 | GlcNAc(b1-3)Gal(b1-4)GlcNAc(b1-6)[Gal(b1-3)]GalNAc+"+ Gal" |
|
| 2176 | Fuc(a1-2)Gal(b1-3)GlcNAc(b1-3)[NeuAc(a2-3)Gal(b1-4)GlcNAc(b1-6)]Gal(b1-3)GalNAc |
|
| 1552 | Gal(b1-3)GalNAc+"+ GlcNAc(?1-?)" |
|
| 1845 | Fuc(a1-2)Gal(b1-3)[Fuc(a1-2)][GlcNAc(b1-6)]Gal(b1-3)GalNAc |
|
| 1882 | Fuc(a1-2)Gal(b1-?)GlcNAc(b1-3)Gal(b1-3)[Gal(b1-6)]GalNAc |
|
| 1976 | Fuc(a1-2)Gal(b1-4)GlcNAc(b1-6)[Gal(b1-3)]GalNAc |
|
| 2033 | Fuc(a1-3)[GalNAc(b1-4)]GlcNAc(b1-6)[Gal(b1-3)]GalNAc |
|
| 280 | Gal(b1-4)GlcNAc(b1-3)Gal(b1-3)[NeuGc(a2-3)Gal(b1-4)GlcNAc(b1-6)]GalNAc |
|
| 2816 | HSO3(-6)GlcNAc(b1-6)[NeuAc(a2-6)Gal(b1-3)]GalNAc |
|
| 2895 | NeuAc(?2-?)Gal(?1-?)GlcNAc(b1-6)[Gal(b1-3)]GalNAc |
|
| 2994 | Fuc(a1-3)[Gal(b1-4)]GlcNAc(b1-3)Gal(b1-3)[NeuAc(a2-6)]GalNAc |
|
| 83 | Fuc(a1-2)GlcA(b1-3)Gal(b1-4)[Fuc(a1-2)]Gal(b1-3)GalNAc |
|
| 937 | Gal(b1-4)[HSO3(-6)]GlcNAc(b1-6)[Gal(b1-3)]GalNAc |
|
| 1013 | GalNAc(b1-4)[NeuGc(a2-3)]GalNAc(b1-3)Gal(b1-4)Gal(b1-3)[NeuGc(a2-6)]GalNAc |
|
| 1657 | Gal(b1-4)GlcNAc(b1-6)[Fuc(a1-2)][Gal(b1-3)]Gal(b1-3)[HSO3(-6)GlcNAc(b1-6)]GalNAc |
|
| 1798 | Fuc(a1-3)GlcNAc(b1-6)[Gal(b1-3)]GalNAc |
|
| 1974 | Fuc(a1-2)Gal(b1-3)[Gal(?1-?)GlcNAc(b1-6)]GalNAc |
|
| 2809 | Fuc(a1-2)Gal(b1-3)[Fuc(a1-2)]Gal(b1-3)GalNAc |
|
| 3646 | Fuc(a1-2)Gal(b1-4)GlcNAc(b1-3)[Fuc(a1-2)Gal(b1-4)GlcNAc(b1-6)]Gal(b1-3)[GlcNAc(b1-6)]GalNAc |
|
| 3683 | NeuAc(a2-3)Gal(b1-3)GlcNAc(b1-3)[GlcNAc(b1-6)]Gal(b1-4)GlcNAc(b1-3)[NeuAc(a2-6)]Gal(b1-3)[Fuc(a1-2)Gal(b1-4)GlcNAc(b1-6)]GalNAc |
|
| 34 | Fuc(a1-3)[Gal(b1-4)]GlcNAc(b1-6)[Fuc(a1-2)Gal(b1-3)]GalNAc |
|
| 8 | HSO3(-6)GlcNAc(b1-6)[Gal(b1-3)]GalNAc |
|
| 2475 | Fuc(a1-2)Gal(b1-4)GlcNAc(b1-6)[Fuc(a1-2)Gal(b1-?)GlcNAc(b1-3)]Gal(b1-?)GlcNAc(b1-3)Gal(b1-3)[Fuc(a1-2)[GalNAc(a1-3)]Gal(b1-4)GlcNAc(b1-6)]GalNAc |
|
| 3175 | Fuc(a1-2)[Gal(a1-3)]Gal(b1-3)GlcNAc(b1-3)Gal(b1-3)GalNAc |
|
| 3403 | Fuc(a1-2)Gal(b1-4)GlcNAc(b1-6)[Fuc(a1-2)Gal(b1-?)GlcNAc(b1-3)]Gal(b1-3)[Fuc(a1-2)Gal(b1-4)GlcNAc(b1-6)]GalNAc |
|
| 1680 | Gal(a1-3)GalNAc(a1-3)[Fuc(a1-2)]Gal(b1-3)[Fuc(a1-2)]Gal(b1-3)[NeuGc(a2-6)]GalNAc |
|
| 1820 | NeuAc(a2-?)Gal(b1-4)GlcNAc(b1-6)[NeuAc(a2-?)Gal(b1-3)]GalNAc |
|
| 3070 | GalNAc(a1-4)Gal(b1-3)[NeuAc(a2-6)]GalNAc |
|
| 1362 | NeuAc(a2-6)Gal(b1-4)GlcNAc(b1-3)Gal(b1-3)GalNAc |
|
| 2526 | Fuc(a1-2)[GalNAc(a1-3)]Gal(b1-3)GlcNAc(b1-3)Gal(b1-3)[Fuc(a1-2)[GalNAc(a1-3)]Gal(b1-4)GlcNAc(b1-6)]GalNAc |
|
| 2614 | HSO3(-?)GlcNAc(b1-6)[Fuc(a1-2)]Gal(b1-3)GalNAc |
|
| 2668 | Fuc(a1-2)Gal(b1-?)[Fuc(a1-?)]GlcNAc(b1-3)Gal(b1-3)[GlcNAc(b1-6)]GalNAc |
|
| 2793 | Fuc(a1-3)GalNAc(b1-3)Gal(b1-4)Gal(b1-3)[NeuGc(a2-8)NeuGc(a2-6)]GalNAc |
|

